Main Idea Worksheet 4th Grade

Main Idea And Summary Worksheets 4Th Grade - Yaroqdesign with regard to Main Idea Worksheet 4th Grade

How to Use a Main Idea Worksheet to Enhance 4th Grade Reading Comprehension Fourth grade reading comprehension can be enhanced through the use of a main idea worksheet. This worksheet is designed to help students identify the main idea of a piece of text. It also helps them distinguish between the main idea and supporting … Read more

Main Idea Worksheet 4

42 Main Idea Worksheet 4 Answers - Worksheet For You for Main Idea Worksheet 4

The Benefits of Using a Main Idea Worksheet in the Classroom Using a main idea worksheet in the classroom can be an invaluable tool for teachers and students alike. This type of worksheet can help students better understand the concept of main ideas and how to identify them. It can also help them develop the … Read more

Main Idea Worksheet 2nd Grade

10 Attractive Main Idea Passages 2Nd Grade 2022 throughout Main Idea Worksheet 2nd Grade

How to Use a Main Idea Worksheet 2nd Grade to Help Your Child Develop Critical Thinking Skills As a parent, it is important to help your child develop critical thinking skills. One way to do this is to use a main idea worksheet for 2nd graders. This type of worksheet will help your child learn … Read more

Magic School Bus Worksheet

The Magic School Bus Adventure Colouring Image for Magic School Bus Worksheet

The Benefits of Using Magic School Bus Worksheets in the Classroom The Magic School Bus worksheets are an invaluable resource for educators looking to engage students in meaningful learning activities. Not only do they provide an entertaining way to learn and explore scientific concepts, but they also help to promote critical thinking and problem-solving skills. … Read more

Macromolecules Worksheet High School

Macromolecules Worksheet-Answers-1Bwujbwjjjjk Jjsxjkis Jxsja Jxzjza Jxzannaz Xajan Xanaki with regard to Macromolecules Worksheet High School

Exploring the Benefits of Using Macromolecules Worksheets in High School Chemistry Classrooms Macromolecules are large molecules used in many biological processes. They are composed of smaller molecules, such as proteins, lipids, carbohydrates, and nucleic acids. Macromolecules are essential for life on earth, and they are a fundamental concept in high school chemistry classrooms. As teachers … Read more

Macromolecules Worksheet Answer Key

50 Macromolecules Worksheet Answer Key | Chessmuseum Template Library regarding Macromolecules Worksheet Answer Key

Examining the Role of Macromolecules in Life: A Guide to the Macromolecules Worksheet Answer Key Macromolecules are the building blocks of life. They are large molecules that are composed of smaller units. These molecules are essential for the structure and function of living organisms. Macromolecules are composed of various elements, including carbon, hydrogen, oxygen, nitrogen, … Read more

Macromolecules Worksheet 2 Answers

25 Macromolecules Worksheet #2 Answers - Worksheet Information in Macromolecules Worksheet 2 Answers

Analyzing Macromolecules Worksheet 2: Overview and Key Takeaways Macromolecules Worksheet 2 provides an overview of the different types of macromolecules and their functions in living organisms. It begins by introducing the four major macromolecules: carbohydrates, lipids, proteins, and nucleic acids. It then goes on to discuss the structure and function of each macromolecule, as well … Read more

Longitude And Latitude Worksheet

14 Label Latitude Longitude Lines Worksheet / Worksheeto regarding Longitude And Latitude Worksheet

Exploring the World: How to Use Longitude and Latitude Worksheets to Teach Students About Geography Longitude and latitude worksheets can be a valuable tool for teachers looking to engage students in learning about geography. These worksheets offer an interactive and engaging way for students to learn about the world around them. By understanding the basics … Read more

Long Division Polynomials Worksheet

30 Long Division Of Polynomials Worksheet | Education Template throughout Long Division Polynomials Worksheet

How to Guide Students Through Solving Long Division Polynomials Worksheets Long division polynomials worksheets can be a daunting task for students. However, by following a few simple steps, students can successfully complete these types of worksheets. Before students begin the worksheet, it is important for them to review the basic rules of polynomial long division. … Read more

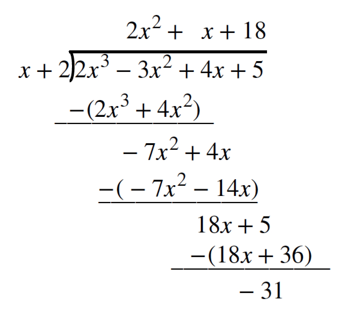
Long Division Of Polynomials Worksheet

Dividing Polynomials ยท Precalculus regarding Long Division Of Polynomials Worksheet

How to Utilize a Long Division of Polynomials Worksheet to Master Complex Algebraic Math Mastering complex algebraic math can be a daunting task. However, with the help of a long division of polynomials worksheet, it can be an achievable goal. A long division of polynomials worksheet is an effective tool for understanding and mastering complex … Read more