Long A Sound Words Worksheet

Long A Vowel Sound Worksheet E Ai Ay Teaching Short I Worksheets with regard to Long A Sound Words Worksheet

Using Long A Sound Words Worksheets to Teach Phonemic Awareness Phonemic awareness is an important skill for young learners as it helps to develop reading and writing skills. Teaching children to discriminate between sounds, recognize sounds in words, and manipulate sounds in words can help to build their literacy skills. Long A sound words worksheets … Read more

Logical Fallacies Worksheet With Answers

Logical Fallacies Worksheet With Answers inside Logical Fallacies Worksheet With Answers

How Logical Fallacies Worksheets Can Help You Spot Flawed Arguments Logical fallacies worksheets are invaluable resources for identifying and addressing flawed arguments. These worksheets can help you spot fallacies and make more informed decisions when engaging in written or verbal discourse. Logical fallacies worksheets provide a comprehensive overview of the different types of fallacies and … Read more

Logarithmic Equations Worksheet With Answers

30 Logarithmic Equations Worksheet With Answers | Education Template regarding Logarithmic Equations Worksheet With Answers

Exploring Logarithmic Equations: A Step-by-Step Guide to Solving Logarithmic Equations Using a Worksheet with Answers Logarithmic equations are an important part of advanced mathematics and can be used to solve a variety of problems. They are most commonly used to solve exponential equations and can be used to calculate the rate of change of certain … Read more

Logarithm Worksheet With Answers

30 Logarithmic Equations Worksheet With Answers | Education Template intended for Logarithm Worksheet With Answers

How to Use Logarithm Worksheets to Help Students Master Logarithmic Concepts Logarithm worksheets can be a valuable tool for helping students master logarithmic concepts. Logarithms are a type of mathematical operation used to simplify complex calculations. By learning how to use logarithms, students can gain a better understanding of various mathematical concepts. Logarithm worksheets are … Read more

Literary Devices Worksheet Pdf

30 Poetic Devices Worksheet 1 | Education Template for Literary Devices Worksheet Pdf

1.Understanding Literary Devices with a Literary Devices Worksheet Pdf A literary devices worksheet pdf is a great tool for students to use when learning how to identify and analyze literary devices. It can help students understand and recognize common literary devices and their use in literature. The worksheet can provide a list of examples of … Read more

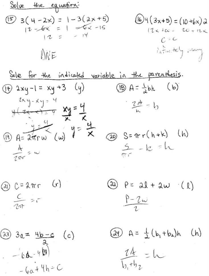
Literal Equations Worksheet Answers

30 Literal Equations Worksheet Answers | Education Template inside Literal Equations Worksheet Answers

How to Use Literal Equation Worksheets to Improve Your Math Skills Literal equation worksheets are a great tool for improving math skills. They provide a variety of exercises that can help students learn how to solve equations or practice their skills. By using these worksheets, students can improve their understanding of basic mathematical concepts and … Read more

Literal Equations Worksheet Answer Key

Literal Equations Worksheet Answer Key With Work — Db-Excel throughout Literal Equations Worksheet Answer Key

How to Use a Literal Equations Worksheet Answer Key to Master Algebra Using a literal equations worksheet answer key is an effective way to master algebra. It provides students with step-by-step instructions for solving a variety of equations, so they can gain a better understanding of how algebra works. The answer key provides the correct … Read more

Literal Equations Worksheet Answer

Literal Equations Worksheet Answer pertaining to Literal Equations Worksheet Answer

How to Solve Literal Equations Worksheets – A Step-by-Step Guide Solving literal equations worksheets can be a daunting task for students. But with the right steps and guidance, it can be easy to solve them. Here is a step-by-step guide to solving literal equations worksheets: Step 1: Understand the literal equation. Take a few minutes … Read more

Literal Equations Worksheet Algebra 1

42 Solve Literal Equations Worksheet - Worksheet Master with Literal Equations Worksheet Algebra 1

How to Solve Literal Equations Worksheets: An Overview of Algebraic Techniques Literal equations are equations that contain multiple variables, and solving them requires you to use a variety of algebraic techniques. To help students become familiar with these techniques, teachers often assign worksheets on literal equations. This article provides an overview of the algebraic techniques … Read more

Lipids Worksheet Answer Key

Lipids Worksheet Answer Key - Promotiontablecovers with Lipids Worksheet Answer Key

Exploring the Role of Lipids in Human Nutrition: A Review of the Lipids Worksheet Answer Key This review will explore the role of lipids in human nutrition. Lipids are a type of biomolecule that are essential to the human body and provide energy, maintain cell structure, and transport vitamins, minerals, and other important nutrients. Lipids … Read more