Long Division Polynomials Worksheet

How to Guide Students Through Solving Long Division Polynomials Worksheets

Long division polynomials worksheets can be a daunting task for students. However, by following a few simple steps, students can successfully complete these types of worksheets.

30 Long Division Of Polynomials Worksheet | Education Template Throughout Long Division Polynomials Worksheet

Before students begin the worksheet, it is important for them to review the basic rules of polynomial long division. This includes understanding the concept of dividend, divisor, and quotient and the steps of polynomial long division.

30 Long Division Of Polynomials Worksheet | Education Template With Long Division Polynomials Worksheet

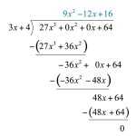
Once the students have reviewed the rules of polynomial long division, it is time to start the worksheet. The first step is to identify the dividend and divisor. The dividend is the number or expression being divided and the divisor is the number or expression that is dividing the dividend. Once these two values have been identified, it is time to start the polynomial long division.

[toc]

The next step is to divide the first term of the dividend by the first term of the divisor. This will result in a quotient and a remainder. The quotient will be written with the divisor below it and the remainder will be written on the side.

Polynomial Long Division Worksheet | Download Free Printables For Kids Intended For Long Division Polynomials Worksheet

The next step is to multiply the quotient by the divisor and subtract this product from the dividend. This will result in a new remainder. The remainder should be written under the dividend and the quotient should be carried down to the next line.

The process should be repeated until the remainder is zero. After this point, the last quotient should be written as the final answer.

30 Polynomial Long Division Worksheet | Education Template For Long Division Polynomials Worksheet

By following these steps, students can solve long division polynomials worksheets with ease. It is important to encourage students to take their time and double-check their work to ensure accuracy.

Tips for Simplifying Complex Long Division Polynomials Worksheets

1. Gather all the necessary materials before beginning the worksheet. This includes a calculator, pencil, paper, and the long division polynomials worksheet.

30 Long Division Of Polynomials Worksheet | Education Template Throughout Long Division Polynomials Worksheet

2. Carefully read the instructions provided in the worksheet. Make sure to understand any terminology used and the process for completing the worksheet.

3. Label each part of the polynomial equation clearly and accurately. This will help you keep track of the various parts of the equation.

4. Start by dividing the coefficients of the polynomial equation. This will give you the quotient and the remainder.

5. Use long division to divide the polynomial equation. Start with the highest power of the equation and work your way down in order until the remainder is 0.

6. Double-check your work by verifying the remainder is 0.

7. If the remainder is not 0, then you may need to repeat the process with a different set of coefficients or change the order of the equation.

8. Finally, when you have completed the worksheet, make sure to review your answers to ensure accuracy.

Common Mistakes to Avoid When Working with Long Division Polynomials Worksheets

1. Not understanding the difference between long division and synthetic division: Long division and synthetic division are two completely different techniques. Long division involves dividing a polynomial equation into a number of separate fractions and solving each one individually, while synthetic division involves breaking down a polynomial equation into a simplified form that can be solved more quickly and efficiently. Make sure you understand the difference between the two before attempting to work with long division polynomials worksheets.

2. Not understanding the concept of remainder: Remainder is an important concept when it comes to long division polynomials. You need to understand that the remainder is the remainder after dividing the polynomial equation by the divisor. If the remainder is zero, then the answer is the quotient. If the remainder is not zero, then the answer is the quotient plus the remainder.

3. Not understanding the order of operations: Order of operations is another essential concept when it comes to long division polynomials. You need to understand that the order of operations should be followed when working with polynomials. This means that multiplication and division must be done before addition and subtraction.

4. Not keeping track of the steps: It is important to keep track of all the steps taken when working with long division polynomials worksheets. If you make a mistake in an earlier step, it can affect the answer of the later steps. Write down all the steps taken and make sure that you are following them in the correct order.

5. Not double-checking your work: Double-checking your work is essential when working with long division polynomials worksheets. Make sure that you have all the steps written down correctly and that all the calculations are correct. It is also important to go back and double-check your work once you have finished the worksheet. This will help ensure that you have done all the steps correctly and that your answer is accurate.

Exploring Advanced Concepts with Long Division Polynomials Worksheets

Long division polynomials worksheets are an excellent tool for students to explore advanced concepts in mathematics. These worksheets provide students with the opportunity to practice and reinforce their long division polynomials skills while also introducing them to new concepts.

The worksheets are typically broken down into sections, each focusing on a different aspect of long division polynomials. The first section typically involves the basics of dividing polynomials, such as division by a constant, division by a monomial, and division by a binomial. This section helps students develop an understanding of the basic principles behind long division polynomials.

The second section of the worksheets often focuses on more advanced concepts. These concepts include finding the remainder of a polynomial, using synthetic division to divide polynomials, and simplifying polynomials using factoring. Each of these concepts is explained in detail, allowing students to gain a deeper understanding of the complexities of long division polynomials.

The third section of the worksheets often includes practice problems. These problems are designed to help students apply the concepts they have learned in the previous sections. They may involve solving equations, performing operations on polynomials, or evaluating polynomials. By completing these problems, students can gain a better understanding of how to apply the concepts they have learned.

Finally, the fourth section of the worksheets often includes a variety of other topics. These topics may include solving problems involving fractions, exponents, and radicals. These topics help to further reinforce the concepts covered in the previous sections and give students a better understanding of more advanced concepts.

Overall, long division polynomials worksheets are an excellent tool for students to explore advanced concepts in mathematics. These worksheets provide students with the opportunity to practice and reinforce their long division polynomials skills while also introducing them to new concepts. By completing the worksheets, students can gain a better understanding of the complexities of long division polynomials and gain a better understanding of how to apply the concepts to solve real-world problems.

Conclusion

The Long Division Polynomials Worksheet is a great tool for helping students understand the process of long division and apply it to polynomials. It provides clear instructions and practice problems, which allows students to gain confidence and accuracy in their work. With this worksheet, teachers can help their students develop the skills they need to solve polynomial equations and use long division as a problem-solving strategy.

[addtoany]

5 photos of the "Long Division Polynomials Worksheet"

30 Long Division Of Polynomials Worksheet | Education Template Throughout Long Division Polynomials Worksheet30 Long Division Of Polynomials Worksheet | Education Template With Long Division Polynomials WorksheetPolynomial Long Division Worksheet | Download Free Printables For Kids Intended For Long Division Polynomials Worksheet30 Polynomial Long Division Worksheet | Education Template For Long Division Polynomials Worksheet30 Long Division Of Polynomials Worksheet | Education Template Throughout Long Division Polynomials Worksheet

Related posts of "Long Division Polynomials Worksheet"

States Of Matter Class 4 Worksheet regarding Changes In Matter Worksheet

Changes In Matter Worksheet

Exploring the Fundamental Principles of Matter: A Guide to Using a Changes in Matter WorksheetWelcome to Exploring the Fundamental Principles of Matter, a guide to using a Changes in Matter worksheet. In this guide, we will explore the fundamental principles of matter and how they relate to changes in matter. We will discuss the three...

Conditional Statements Worksheet With Answers for Conditional Statements Worksheet With Answers

Conditional Statements Worksheet With Answers

Exploring the Uses of Conditional Statements Worksheets with AnswersConditional statements are an essential part of any programming language, as they allow for an efficient and effective way to control the flow of code. Conditional statements worksheets can be a great way to understand the uses of conditional statements and how to apply them to solve...

How To Read A Ruler - The Cornucopia Learning Network with regard to Reading A Ruler Worksheet Pdf

Reading A Ruler Worksheet Pdf

Exploring the Benefits of Using a Reading A Ruler Worksheet Pdf for Math EducationReading a ruler worksheet pdfs have become increasingly popular among educators, as they offer a versatile and effective way to teach math concepts to students. By providing students with an easy-to-follow and interactive resource, teachers can ensure that the material is understood...

Is An Octopus A Producer Consumer Or Decomposer with regard to Producers And Consumers Worksheet

Producers And Consumers Worksheet

Exploring the Benefits of a Producers and Consumers Worksheet in the ClassroomA producers and consumers worksheet can provide a valuable learning opportunity for students of all ages in the classroom. This type of worksheet helps students better understand the concept of supply and demand and how it affects the economy. By providing students with a...