Position Time Graph Worksheet

Position Vs Time And Velocity Vs Time Graphs Worksheet Answers pertaining to Position Time Graph Worksheet

How to Use Position Time Graph Worksheets to Easily Teach Physics Position time graph worksheets can be an invaluable tool for teaching physics. By providing an easy-to-understand visual representation of motion and its various components, these worksheets can help students learn and understand the principles of physics more effectively. Position time graph worksheets typically consist … Read more

Population Growth Worksheet Answers

Human Population Growth Worksheet Answer pertaining to Population Growth Worksheet Answers

Exploring the Impact of Population Growth on Economic Development: A Look at Population Growth Worksheet Answers The impact of population growth on economic development is complex and far-reaching. It is essential to understand the dynamics between population growth, economic growth, and economic development in order to make informed decisions that will benefit populations and economies. … Read more

Population Ecology Graphs Worksheet Answers

Population Ecology Graph Worksheet Answers — Db-Excel pertaining to Population Ecology Graphs Worksheet Answers

Exploring Population Dynamics with Population Ecology Graphs Worksheet Answers Population ecology graphs are powerful tools for exploring and understanding the dynamics of population growth in different species. These graphs can provide invaluable insight into the intricate relationship between the size of a population and the environmental factors affecting it. Population ecology graphs are typically made … Read more

Population Ecology Graph Worksheet

Population Ecology Graph Worksheet | Worksheet For Education throughout Population Ecology Graph Worksheet

Exploring Trends in Population Ecology with Graphs Population ecology is a field of study that examines the dynamics of populations and the factors that affect them. It is an important tool for understanding the ecology of a given area and can provide valuable insights into how human activity impacts the environment. Graphs are a useful … Read more

Polynomials Worksheet With Answers

Adding And Subtracting Polynomials Algebra 1 Worksheet - Algebra 1 Lesson 9 Adding And regarding Polynomials Worksheet With Answers

The Benefits of Using a Polynomials Worksheet With Answers Using a polynomials worksheet with answers is an excellent way for students to gain a better understanding of polynomials and their properties. A polynomials worksheet with answers can provide an effective method of learning polynomials by providing students with an opportunity to practice and review their … Read more

Polynomial Word Problems Worksheet

50 Polynomial Word Problems Worksheet | Chessmuseum Template Library in Polynomial Word Problems Worksheet

How to Solve Polynomial Word Problems Using a Worksheet When solving polynomial word problems, a worksheet can be a useful tool. A worksheet can be used to help organize the information presented in the problem and to give structure to the problem-solving process. To solve a polynomial word problem using a worksheet, there are six … Read more

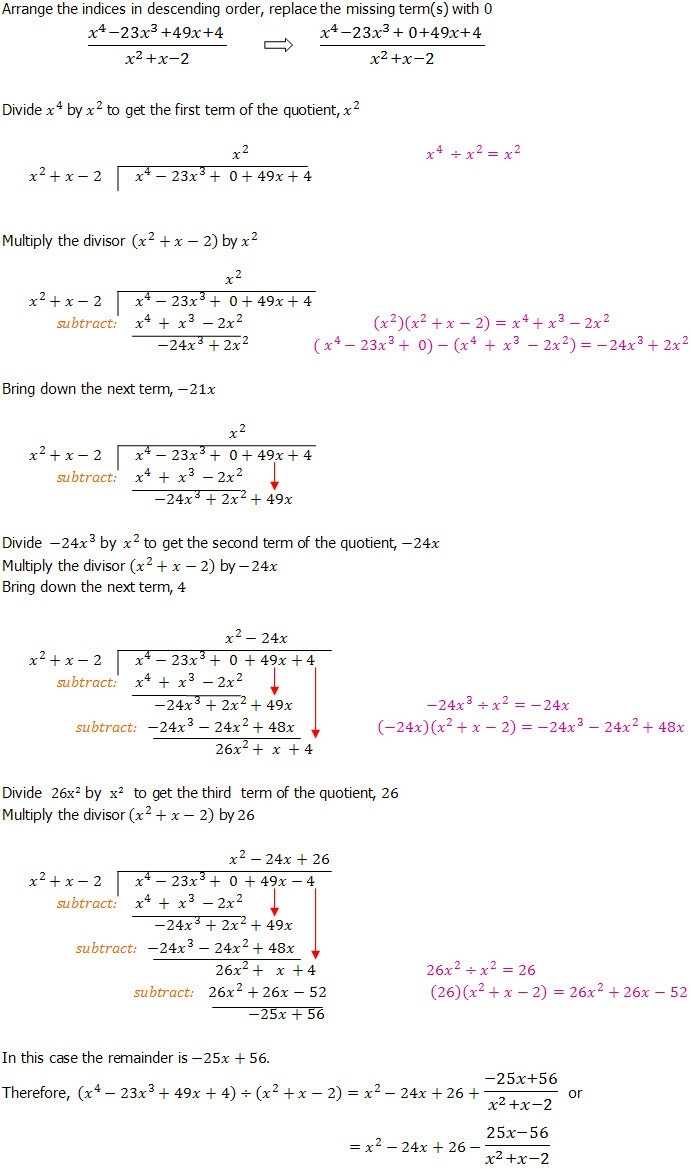
Polynomial Long Division Worksheet

30 Polynomial Long Division Worksheet | Education Template inside Polynomial Long Division Worksheet

Exploring Polynomial Long Division Worksheets: What Teachers Should Know Polynomial long division worksheets are an effective tool for teaching students the basics of polynomial long division. Teachers should understand the underlying concepts of polynomial long division and the structure of the worksheets in order to effectively use them in the classroom. When teaching polynomial long … Read more

Polygon And Angles Worksheet

Worksheet. Interior Angles Of A Polygon Worksheet. Grass Fedjp inside Polygon And Angles Worksheet

How Polygon And Angles Worksheets Can Help Your Child Learn Geometry Geometry is a challenging subject for many children, and Polygon and Angles worksheets can be an effective way to help them understand the concepts of geometry. Worksheets can provide a structured environment for students to practice their skills and develop their understanding of the … Read more

Polyatomic Ions Worksheet Answers

50 Polyatomic Ions Worksheet Answers | Chessmuseum Template Library intended for Polyatomic Ions Worksheet Answers

Exploring Polyatomic Ions Worksheet Answers: A Comprehensive Guide Polyatomic ions are an important concept in chemistry, as they are responsible for many of the chemical reactions that take place in the world around us. Polyatomic ions are made up of two or more atoms that are bound together by covalent bonds, and have a net … Read more

Political Cartoon Analysis Worksheet

Political Cartoon Analysis Worksheet Answer Key - Best Worksheet intended for Political Cartoon Analysis Worksheet

Exploring the History and Significance of Political Cartoon Analysis Worksheets Political cartoon analysis worksheets have been an integral part of the educational process since the dawn of the republic. At their core, they are designed to help students understand the nuances of politics, history, and culture through the use of visual media. Used in classrooms … Read more