The Benefits of Using a Polynomials Worksheet With Answers
Using a polynomials worksheet with answers is an excellent way for students to gain a better understanding of polynomials and their properties. A polynomials worksheet with answers can provide an effective method of learning polynomials by providing students with an opportunity to practice and review their understanding of the subject.
The benefit of using a polynomials worksheet with answers is that it allows students to understand polynomials and their properties in a step-by-step manner. By providing the student with an answer key, they can refer to it while they are doing their own work and they can easily understand what they have done wrong or right. This helps them to correct their mistakes and to understand the concept better.
Using a polynomials worksheet with answers also allows students to practice solving different types of polynomials. This can be a great way for students to gain a more in-depth understanding of polynomials and their properties. They can practice solving equations with multiple variables, and they can also practice solving equations with radicals.
[toc]
Using a polynomials worksheet with answers also allows students to gain a better understanding of polynomials and their properties by allowing them to practice and review their understanding at their own pace. They can look over the answers and then use the information they have learned to solve a problem. This helps them to apply what they have learned to real-life situations.
Finally, using a polynomials worksheet with answers also provides students with an opportunity to practice problem-solving in a safe and organized environment. By using a worksheet with answers, students can practice solving polynomials without the fear of making mistakes or getting frustrated. This allows them to learn more effectively and to gain a better understanding of polynomials and their properties.
How to Use a Polynomials Worksheet With Answers to Build Your Math Skills
Using a polynomials worksheet with answers is an excellent way to build your math skills. Polynomials are equations that involve variables, constants, and coefficients and can range from simple linear equations to complex polynomial equations. By working through a polynomials worksheet with answers and applying the principles of algebra, students can develop an understanding of polynomials and gain a better understanding of how they are used in everyday life.
To use a polynomials worksheet with answers, begin by familiarizing yourself with the various operations involved in solving polynomial equations. These include addition, subtraction, multiplication, division, and exponentiation. Once you understand the basics of these operations, you can move onto the more complex operations, such as factoring, simplifying, and expanding polynomials. While working through the exercises in the worksheet, be sure to pay attention to the examples and explanations provided by the instructor.
Once you are comfortable with the operations involved in solving polynomial equations, you can begin to apply the concepts to your own practice. Start by solving simple polynomial equations and then move on to more complex equations. When working with polynomials, be sure to use the principles of algebra to determine the solutions. This includes using the distributive law, foiling, and splitting polynomials.
When working through a polynomials worksheet with answers, it is important to remember that there are multiple solutions for each equation. As you work through the exercises, take note of the different solutions for each equation and compare them to each other. Doing so will help you gain an understanding of why certain solutions work better than others.
Finally, when working through a polynomials worksheet with answers, be sure to review the answers you have found. Doing so will help you become more familiar with the principles of algebra and how to apply them to solve polynomial equations. As you become more familiar with the concepts of algebra, you will be able to solve more complex equations and gain a better understanding of how to use polynomials in everyday life. With practice, you will eventually become an expert in polynomials and be able to use them to solve a variety of real-world problems.
Common Mistakes to Avoid When Working Through a Polynomials Worksheet With Answers
1. Not reading the directions carefully: Before starting a polynomials worksheet with answers, it is important to read the directions carefully to ensure that all calculations are done correctly.
2. Incorrectly expressing the answer: When working through a polynomials worksheet with answers, it is essential to express the answer in the specified form. This means that if the answer is required in the form of a polynomial, it should be expressed as such.
3. Mistakes in algebraic manipulation: Working through a polynomials worksheet with answers requires algebraic manipulation of the given polynomials. It is important to pay attention to the order of operations and to use the appropriate symbols when required.
4. Not checking the answer: Once the answer has been calculated, it is important to check that it is the correct answer by re-calculating it using a different method. This is important to ensure accuracy and to help identify any mistakes that have been made.
5. Not paying attention to the units: Units are essential when working through a polynomials worksheet with answers. It is important to ensure that the answer is expressed in the correct units and that the appropriate unit conversions are made.
6. Not understanding the significance of the answer: When working through a polynomials worksheet with answers, it is essential to understand the significance of the answer. For example, it is important to note whether the answer represents a minimum, maximum or average value.
Conclusion
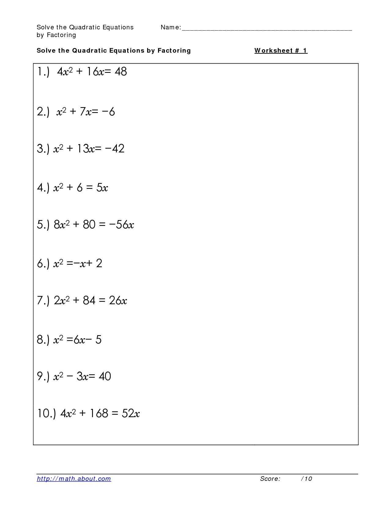
The polynomials worksheet with answers provided us with an excellent introduction to the basic principles of polynomials. We learned how to identify and solve polynomial equations, as well as how to use the different methods of factoring polynomials. By completing the worksheet, we were able to gain a better understanding of the concepts that are fundamental to understanding polynomials. With this knowledge, we can now confidently approach any problem that involves polynomials.
[addtoany]












