Exploring Polynomial Long Division Worksheets: What Teachers Should Know
Polynomial long division worksheets are an effective tool for teaching students the basics of polynomial long division. Teachers should understand the underlying concepts of polynomial long division and the structure of the worksheets in order to effectively use them in the classroom.
When teaching polynomial long division, it is important to provide students with a step-by-step approach and to review the process as often as necessary. This ensures that students have a good understanding of the concept before attempting a worksheet. Additionally, teachers should provide students with examples of polynomial long division problems, so they can better understand the structure of the worksheet.
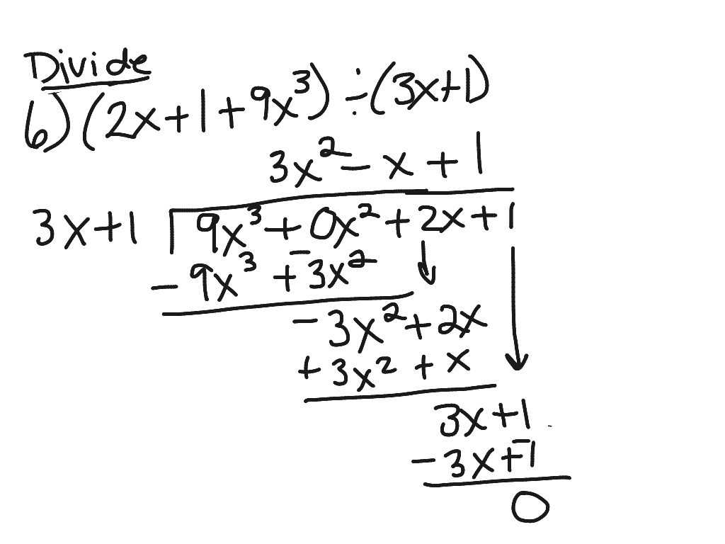
Polynomial long division worksheets generally contain a main problem, followed by a series of smaller problems. Each smaller problem requires the student to divide a polynomial into two polynomials, using long division. After the student completes each smaller problem, they should check their answer with the main problem.
[toc]
When grading polynomial long division worksheets, it is important to look at both the correctness of the answer and the process used to arrive at the answer. This will help ensure that students understand the concept and can apply it to other problems. Additionally, teachers should provide feedback and guidance to students who may be struggling with the worksheet.
Overall, polynomial long division worksheets are an effective tool for teaching students the basics of polynomial long division. By understanding the underlying concepts and providing students with step-by-step instruction, teachers can ensure that students have a good grasp of the concept. Additionally, by providing feedback and guidance, teachers can help students who may have difficulty completing the worksheet.
A Step-By-Step Guide to Using a Polynomial Long Division Worksheet
Polynomial long division is an important mathematical process that is used to divide two polynomials. This process can be complicated and time-consuming, especially for students who are new to the process. Fortunately, there are tools available such as a polynomial long division worksheet to help make the process easier. This guide provides a step-by-step approach to using a polynomial long division worksheet to solve a polynomial long division problem.
Step 1: Gather the necessary materials.
To begin, you will need the polynomial long division worksheet and a pen or pencil. It is important to have all the materials on hand before beginning.
Step 2: Enter the polynomials.
At the top of the worksheet, enter the two polynomials to be divided. Make sure the polynomial to be divided (the dividend) is placed on the left and the polynomial to divide by (the divisor) is placed on the right.
Step 3: Divide the coefficients.
Divide the coefficients of the dividend and divisor. This will be the first term of the answer (the quotient).
Step 4: Multiply the divisor and the quotient.
Multiply the divisor and the quotient together to get the intermediate result.
Step 5: Subtract the intermediate result from the dividend.
Subtract the intermediate result from the dividend to get the remainder.
Step 6: Check the remainder.
If the remainder is zero, the polynomial long division is complete. If the remainder is not zero, repeat steps 3 through 6.
Step 7: Write the final answer.
Write the final answer on the worksheet. The answer should include the quotient and the remainder.
By following these steps, students can successfully use a polynomial long division worksheet to solve polynomial long division problems. With practice, students can increase their proficiency and become more efficient at solving these types of problems.
Tips and Tricks for Helping Students Master Polynomial Long Division Worksheets
1. Break Down the Problem: Long division of polynomials can seem like an intimidating task, but it can be broken down into smaller, more manageable steps. Before starting the worksheet, have students draw a diagram of the problem with the dividend and divisor written in the boxes. This will help them visualize the problem and understand the process better.
2. Use a Model: Modeling a polynomial long division problem using manipulatives such as counters or a piece of paper folded into a graph can be a helpful tool for visualizing the equation and understanding the process.
3. Practice, Practice, Practice: As with any math problem, practice makes perfect. Have students practice polynomial long division on a regular basis to help them become more comfortable and proficient with the process.
4. Check the Answer: Once students have completed the worksheet, have them check their answers using a calculator or a graph. This will help them understand the problem better and be able to identify any mistakes they may have made.
5. Utilize Resources: There are plenty of resources available online to help students master polynomial long division. Encourage students to use videos and tutorials to further their understanding.
Conclusion
In conclusion, the Polynomial Long Division Worksheet is a great tool for learning and practicing polynomial long division. It provides a step-by-step approach to the problem and helps students understand the concept of polynomial long division. It is also a great way to review the concept and to practice it in a way that is convenient and easy to follow.
[addtoany]












