Exploring the Different Types of Work and Energy Worksheets
Work and energy are two of the most fundamental concepts in physics. Both are related to the transfer of energy, and both are necessary to understand the motion of objects. To help students understand these concepts, there are a variety of work and energy worksheets available. These worksheets can range from basic to more complex and can be used to help students review and apply their knowledge of these concepts.
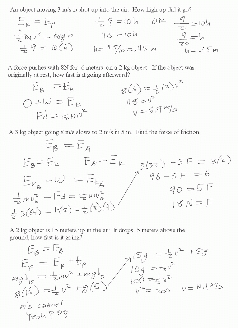
The most basic worksheets typically involve students solving basic equations related to work and energy. These equations usually involve finding the change in kinetic energy, potential energy, or total energy. Such worksheets can be used to help students understand how these equations are used to describe the motion of objects.
More complex worksheets may involve students solving problems involving the conservation of energy. These problems may involve determining the energy needed for an object to move from one location to another or calculating the amount of energy transferred from one object to another. Such worksheets can be used to help students understand how energy is conserved and how it can be used to describe the motion of objects.
[toc]
There are also worksheets that involve students analyzing experiments involving work and energy. These experiments usually involve a system with two objects, such as a pendulum and a block connected by a string. Students are asked to analyze the motion of the objects to determine the amount of work done and the amount of energy transferred. Such worksheets can be used to help students understand how to apply their knowledge of work and energy to real-world problems.
Finally, there are worksheets that involve students exploring different types of energy. Students may be asked to study the different forms of energy, such as thermal energy, electrical energy, and chemical energy, and how they interact with each other. Such worksheets can be used to help students understand the different types of energy, as well as how they can be used to solve problems involving work and energy.
No matter which type of work and energy worksheets are used, they can be a great resource for students to review and apply their knowledge of these important concepts. By using these worksheets, students can gain a better understanding of the principles of work and energy and the way they interact with each other.
Benefits of Using Work and Energy Worksheets in the Classroom
The use of work and energy worksheets in the classroom can be a powerful tool to support student learning. These worksheets can provide an engaging, visual way of teaching and reinforcing the concepts of work and energy. They can help students understand the relationship between force, work, and energy, as well as help them develop problem-solving skills.
Work and energy worksheets have several benefits in the classroom. They can help students develop a more comprehensive understanding of the concepts of work and energy, as well as providing them with a hands-on approach to learning. Through the use of worksheets, students can practice and reinforce their knowledge of the concepts, allowing them to apply the concepts to real-world problems. Additionally, worksheets can provide a scaffolded approach for students to build upon their understanding, as they move from simple to more complex problems.
Another advantage of using work and energy worksheets in the classroom is that they can provide an opportunity for students to work collaboratively. By working together with peers, students can develop a better understanding of the concepts and practice problem-solving skills in a supportive environment. Working together on worksheets can also help students to develop their communication skills, as they discuss and debate the solutions to the problems.
Finally, worksheets can be used to assess student learning. By assessing the accuracy of student answers, teachers can ensure that students have a thorough understanding of the concepts. This can be particularly beneficial for students who have difficulty focusing in a traditional classroom setting. By using worksheets, teachers can provide their students with a meaningful way to demonstrate their understanding of the concepts.
Overall, using work and energy worksheets in the classroom provides a number of benefits to students. These worksheets can help students develop a comprehensive understanding of the concepts, practice problem-solving skills, and collaborate with peers. Additionally, they can provide a way to assess student learning and provide meaningful feedback to teachers. All of these benefits make work and energy worksheets an effective and engaging tool to help students learn.
How to Use Work and Energy Worksheets to Enhance Student Learning
Work and energy worksheets can be a great tool to help enhance student learning in the classroom. They provide students with an opportunity to practice concepts related to work and energy, and to gain a better understanding of these topics. By using work and energy worksheets, students will be able to develop their problem-solving skills, as well as their critical thinking skills.
The first step in using work and energy worksheets is to select an appropriate worksheet. Depending on the level of the student and the curriculum, there are a variety of worksheets available to choose from. It is important to select a worksheet that contains relevant problems that are appropriate for the student’s level of understanding. Additionally, it is important to select a worksheet that includes a variety of problems, as this will help to keep the students engaged and motivated.
Once a worksheet is selected, it is important to review the problems and make sure they are appropriate for the student’s level of understanding. This is especially important when using work and energy worksheets with younger students. If a student does not understand the problem, it is important to explain it to them in a way that is easy for them to understand.
When using work and energy worksheets, it is also important to provide students with ample time to complete the worksheet. This will help to ensure that students are able to complete the problems correctly, and understand the concepts presented. Additionally, it is important to provide students with feedback on their answers. This can help to encourage them to continue practicing the concepts, and to work toward mastery.
Finally, it is important to review the worksheet with the students. This will help to ensure that they understand the concepts presented and are able to apply them to real-world situations. Additionally, by providing students with feedback on their answers, it will help them to become more confident in their ability to apply the concepts to their own lives.
Using work and energy worksheets can be an excellent way to help enhance student learning in the classroom. They provide students with an opportunity to practice the concepts related to work and energy, and to gain a better understanding of these topics. By selecting an appropriate worksheet, providing ample time for completion, and providing feedback on answers, students will be able to develop their problem-solving skills and critical thinking skills. Additionally, by reviewing the worksheet with the students, it will help to ensure that they understand the concepts presented and are able to apply them to real-world situations.
Utilizing Work and Energy Worksheets to Develop Problem-Solving Skills
Work and energy worksheets are an effective tool for developing problem-solving skills in students of all ages. These worksheets allow students to practice solving problems in a structured and organized way, while also providing opportunities for creative thinking. By providing students with a comprehensive understanding of the principles of work and energy, they can develop the essential cognitive skills needed to solve complex problems.
Work and energy worksheets are typically designed to focus on the application of the principles of work and energy to real-world problems. They often involve solving equations, identifying patterns, and using diagrams or other visual aides to demonstrate a concept. The worksheets can be used to illustrate important concepts such as Newton’s laws of motion, conservation of energy, and the conservation of momentum.
Using work and energy worksheets to develop problem-solving skills can help students become more successful in science, math, and engineering classes. By understanding the principles of work and energy, students are better able to apply their knowledge to solve more complex problems. In addition, they gain a better understanding of the relationships between different variables and how they interact with one another.
Work and energy worksheets can also be used to develop analytical skills. By having students work through equations, they can learn how to use data to draw conclusions and make decisions. This skill can be applied to a wide range of real world problems, such as calculating the speed of an object based on its mass and distance.
Work and energy worksheets are also useful in the classroom for teaching problem solving. By providing students with real-world scenarios to solve, they can practice their problem-solving skills in a controlled environment. This allows them to gain experience in solving problems in different situations, which can help them in a variety of other academic and professional situations.
Finally, work and energy worksheets can be used to help students develop their critical thinking skills. By having students analyze diagrams and equations, they can develop an understanding of the relationships between variables and how they interact with each other. This can help them better understand the implications of certain decisions and how to make more informed decisions in the future.
Overall, work and energy worksheets can be used to develop problem-solving skills in students of all ages. By providing students with a comprehensive understanding of the principles of work and energy, they can develop the essential cognitive skills needed to solve complex problems. In addition, they can develop analytical skills and critical thinking skills, which can be applied to a wide range of real-world problems. With the right guidance, work and energy worksheets can be a powerful tool for developing problem-solving skills.
Strategies for Teaching Work and Energy Concepts with Worksheets
1. Begin by introducing the concept of work and energy. Explain how energy is the ability to do work, and provide examples of how energy is transformed into work. Additionally, explain how energy can be expressed in different forms, such as mechanical, electrical, chemical, and thermal energy.
2. Integrate worksheets into the lesson to help reinforce the concepts. Provide students with worksheets that ask them to identify the different types of energy and explain the transformation of energy into work. For example, have students read a passage about a car and analyze which type of energy is being used, followed by a short answer question about the transformation of energy into work.
3. Utilize visual aids to help students understand the concepts. Create diagrams that demonstrate the transformation of energy into work, and have students draw similar diagrams on worksheets. Additionally, have students watch a video or animation that depicts the concept of work and energy.
4. Ask students to complete hands-on activities to further reinforce the concepts. Have students complete an experiment to help them understand how energy is transformed into work. For example, have students design an experiment involving a rubber band and a car, and discuss the transformation of energy into work as the car moves.
5. Assess students’ understanding of the concept with a comprehensive worksheet. Provide students with a worksheet that asks them to answer questions about work and energy, such as what type of energy is used to power a car and how energy is transformed into work. Use this worksheet to gauge students’ comprehension of the concepts.
Troubleshooting Common Issues with Work and Energy Worksheets
When completing work and energy worksheets, it is important to ensure that the answers are accurate and that any calculations are correct. It is common to encounter issues when attempting to complete these worksheets, and understanding the most frequent causes of these issues can help to ensure that they are addressed quickly and effectively.
One of the most common issues with work and energy worksheets is a lack of understanding of the concepts. It is essential to have a clear understanding of the principles of work and energy before attempting to answer the questions on the worksheet. Without this knowledge, it is difficult to interpret the questions accurately and complete them correctly.
Another issue is that students may not be familiar with the terminology used in the worksheet. As with any subject area, it is important to have a good understanding of the terms used before attempting to answer the questions. In the case of work and energy worksheets, this means understanding the definitions of words such as force, work, and energy.
A third issue that can arise is incorrect calculations. If students do not understand the concepts involved, then they can make mistakes when performing calculations. This can lead to incorrect answers and can significantly reduce the quality of the worksheet.
Finally, students may struggle to interpret questions correctly. This can be due to a lack of understanding of the concepts involved, or due to a misunderstanding of the specific questions. In either case, it is important to ensure that the questions are read carefully and that all instructions are followed.
By addressing these common issues, it is possible to ensure that work and energy worksheets are completed accurately and in a timely manner. By having a clear understanding of the concepts involved, being familiar with the terminology used, double-checking calculations, and carefully reading the questions, students can ensure that their answers are correct and that their worksheets are of a high quality.
Incorporating Work and Energy Worksheets into Science Projects
Work and energy are two of the most fundamental concepts in the field of science. They are essential components of both physical and chemical processes, and they can be used to explain the behavior of numerous systems. As such, incorporating work and energy worksheets into science projects is a great way to help students gain a deeper understanding of these concepts.
When it comes to implementing work and energy worksheets into science projects, there are a few key considerations. First, it is important to select materials that are suitable for the age and level of the students. For younger students, simpler worksheets that focus on basic concepts such as linear motion and force may be more appropriate. For more advanced students, more complex worksheets that incorporate ideas such as gravitational potential energy and kinetic energy can be used. Additionally, it is important to choose materials that are relevant to the particular science project. For example, if the students are working on a project that involves building a simple machine, then worksheets that focus on mechanical energy and potential energy should be used.
Once the appropriate worksheets have been selected, they should be organized into a logical sequence that encourages students to explore the different aspects of work and energy. Additionally, it is important to provide students with ample opportunity to practice the concepts they are learning. This can be accomplished by providing students with challenging but achievable worksheets that require them to analyze and apply the concepts they are learning.
In addition to providing students with worksheets, it is also helpful to supplement these materials with other resources. For instance, videos, slideshows, and interactive simulations can all be used to help students gain a better understanding of the concepts they are studying. Additionally, providing students with opportunities to discuss their findings and share their work with each other can help to reinforce the concepts they have learned.
Incorporating work and energy worksheets into science projects is a great way to help students gain a deeper understanding of these important concepts. With careful selection of the materials and the implementation of appropriate instructional strategies, teachers can ensure that their students acquire the knowledge and skills needed to succeed in the field of science.
Creative Ways to Use Work and Energy Worksheets in Math Curriculum
Work and energy worksheets can be used to help students better understand mathematics concepts related to work and energy. They are a valuable tool for teachers to use in the classroom to help students understand and apply these concepts. Here are some creative ways to use work and energy worksheets in a mathematics curriculum.
1. Students can use work and energy worksheets to explore the relationship between work and energy. Through the use of such worksheets, students can develop a deeper understanding of the relationship between work and energy and its implications for solving real-world problems.
2. Work and energy worksheets can be used to develop problem-solving skills. By providing students with worksheets that ask them to solve problems related to the work and energy concepts, students gain experience in problem-solving skills.
3. Work and energy worksheets can be used to practice calculations. By completing worksheets that require students to calculate the amount of work or energy required to complete a given task, students gain experience in working with calculations.
4. Work and energy worksheets can be used to review and reinforce concepts. By providing students with worksheets that focus on specific work and energy concepts, students can review and reinforce these concepts.
5. Work and energy worksheets can be used to assess student understanding. By providing students with worksheets that require them to apply the concepts they have learned, teachers can assess student understanding and identify areas where further instruction is needed.
These are just a few of the creative ways that work and energy worksheets can be used in a mathematics curriculum. Such worksheets can provide students with a valuable tool for exploring and understanding work and energy concepts. By using work and energy worksheets, teachers can help their students develop a deeper understanding of these concepts, develop problem-solving skills, practice calculations, review and reinforce concepts, and assess student understanding.
Examples of Effective Work and Energy Worksheets
1) Work and Energy Worksheet: This worksheet is designed to help students understand the concepts of work and energy. It includes a brief introduction to the concepts, definitions, and examples of both work and energy. The worksheet then provides a series of questions and problems for students to solve. Questions involve calculating the amount of work done, identifying the type of energy involved in a given situation, and understanding how energy is transferred from one object to another. The worksheet also includes a review section to help students assess their understanding of the concepts.
2) Work and Energy Problem Set: This problem set is designed to help students practice and apply the concepts of work and energy. It includes a variety of problems of varying difficulty. Questions involve calculating the amount of work done, understanding the relationship between work and energy, and calculating the energy transferred from one object to another. The problem set also includes a review section to help students assess their mastery of the concepts.
3) Work and Energy Quiz: This quiz is designed to help students test their understanding of the concepts of work and energy. It includes a variety of multiple choice and true/false questions. Questions involve calculating the amount of work done, understanding the relationship between work and energy, and calculating the energy transferred from one object to another. The quiz also includes a review section to help students assess their mastery of the concepts.
Developing a Comprehensive Work and Energy Worksheet for Students
This worksheet is designed to help students understand the concepts of work and energy. The worksheet will provide students with a series of problems and questions that will help them to develop an understanding of the relationships between work, energy, and power.
The worksheet will begin with a brief introduction to the concepts of work, energy, and power. This will include definitions of the terms, examples of how they are used, and a simple example problem to demonstrate the concepts.
Next, the worksheet will provide a series of problems for students to solve. These problems will range from basic calculations of work or energy, to more complex calculations involving power. The worksheet will also provide questions to help students think critically about the relationships between the different concepts.
In addition, the worksheet will contain a number of diagrams and illustrations to help students visualize the concepts. These will include diagrams of simple machines, such as a lever, inclined plane, and pulley, as well as diagrams of more complex machines, such as a car engine or a wind turbine.
Finally, the worksheet will provide a summary and review of the concepts discussed. This will include a list of key terms, a brief review of the concepts, and a short quiz to test students’ understanding of the material.
This comprehensive worksheet will help students to understand the concepts of work, energy, and power. It will provide an engaging and informative learning experience that will help students to develop an understanding of the relationships between these important concepts.
Conclusion
The Work and Energy Worksheet is a great way to help students understand the basic concepts behind work and energy. By completing the worksheet, students can gain a better understanding of the relationships between force, work, and energy and how these concepts can be applied in real-world situations. This worksheet can also help students to practice problem-solving skills and gain an appreciation for the laws of physics.
[addtoany]












