Quadratic Formula Worksheet With Answers

How to Use a Quadratic Formula Worksheet With Answers to Solve Quadratic Equations

Using a Quadratic Formula worksheet with answers is an effective way to solve quadratic equations. This type of worksheet provides an organized structure that can help students understand the process of solving the equations.

50 Quadratic Equation Worksheet With Answers | Chessmuseum Template Library Inside Quadratic Formula Worksheet With Answers

Before beginning the worksheet, it is important to review the definition of a quadratic equation. A quadratic equation is an equation of the form ax² + bx + c = 0, where a,b, and c are real numbers and a ≠ 0. The equation must be solved for x, which represents an unknown variable.

Solving Quadratic Equations Review Answer Key - Tessshebaylo Within Quadratic Formula Worksheet With Answers

To use the worksheet, start by entering the coefficients of the equation into the appropriate spaces. For example, if the equation is 2x² + 5x + 3 = 0, then enter “2” in the box for “a,” “5” in the box for “b,” and “3” in the box for “c.”

[toc]

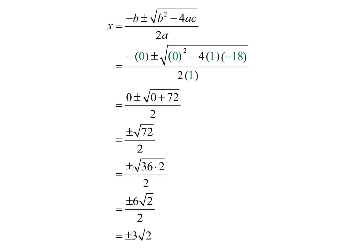
Next, use the Quadratic Formula to solve for x. The Quadratic Formula is x = -b ± √(b² – 4ac) / 2a. Substitute in the values for a, b, and c to find the solution.

Kuta Software Solving Quadratic Equations With Square Roots Answers Inside Quadratic Formula Worksheet With Answers

The last step is to check the answer. To do this, substitute the solution back into the equation and see if it is equal to zero. If it is not equal to zero, then the solution is incorrect.

Using a Quadratic Formula worksheet with answers is an efficient way to solve quadratic equations. The worksheet provides a structured approach which can help students understand and complete the process while also providing a place to check the answer. With practice, solving quadratic equations can become easier and more efficient.

30 Quadratic Formula Worksheet With Answers | Education Template Pertaining To Quadratic Formula Worksheet With Answers

Strategies for Teaching Quadratic Formula With a Quadratic Formula Worksheet With Answers

1. Start by introducing the quadratic formula. Explain what it is and how it is used. Use visuals such as diagrams or charts to help students understand the concept.

2. Provide a quadratic formula worksheet with answers. Allow students to work through the worksheet in pairs or small groups, discussing the steps they take to solve each problem.

Worksheet Graphing Quadratic Functions With Quadratic Formula Worksheet With Answers

3. Model how to solve a problem using the quadratic formula. Demonstrate the process step by step, with students following along.

4. Encourage students to practice solving problems with the quadratic formula on their own. Provide them with additional worksheets to work through and encourage them to ask questions if they get stuck.

5. Ask students to explain their solutions. Have them explain their thought process and the steps they took to solve the problem.

6. Review the answers together as a class. Check for understanding and make sure everyone can explain their solutions.

7. Discuss any misconceptions. Answer any lingering questions.

8. Offer additional practice opportunities. Provide students with different types of problems to solve and encourage them to continue practicing on their own.

Using Quadratic Formula Worksheets With Answers to Check Your Work and Improve Your Problem-Solving Skills

Quadratic formula worksheets with answers are an excellent tool for students to check their work and improve their problem-solving skills. These worksheets provide a step-by-step guide for solving problems involving the quadratic equation, and the answers to verify the solutions.

When using quadratic formula worksheets with answers, it is important to understand the process of solving each problem. Each worksheet will typically contain a set of multiple-choice questions that must be answered correctly in order to move on to the next question. These questions will help guide the student through a series of steps in order to solve the equation.

The worksheets will also include a set of sample problems that can be used by the student to practice the techniques of solving a quadratic equation. These sample problems provide a variety of questions that can be used to practice the techniques learned in the worksheet. The answers to the sample problems will also be included in the worksheet, allowing the student to verify their solutions.

Once the student has become comfortable with the techniques used in the worksheet, they can then move on to solving more complex equations. As the student progresses, they will eventually be able to solve more difficult equations, such as those involving exponents or higher-order terms. The answers to these questions can be checked against the answers provided in the worksheet.

Quadratic formula worksheets with answers are an invaluable resource for students of all levels. They provide a comprehensive guide to solving equations and offer the student the opportunity to practice and improve their problem-solving skills. By using these worksheets, students can become more confident in their ability to solve equations, and can increase their confidence in other areas of math.

Conclusion

The Quadratic Formula Worksheet With Answers is an invaluable resource for anyone studying quadratic equations. It provides a comprehensive system for solving quadratic equations, as well as clear explanations and example problems. With this worksheet, students can learn how to solve quadratic equations with confidence, and apply their knowledge in a variety of practical settings.

[addtoany]

5 photos of the "Quadratic Formula Worksheet With Answers"

50 Quadratic Equation Worksheet With Answers | Chessmuseum Template Library Inside Quadratic Formula Worksheet With AnswersSolving Quadratic Equations Review Answer Key – Tessshebaylo Within Quadratic Formula Worksheet With AnswersKuta Software Solving Quadratic Equations With Square Roots Answers Inside Quadratic Formula Worksheet With Answers30 Quadratic Formula Worksheet With Answers | Education Template Pertaining To Quadratic Formula Worksheet With AnswersWorksheet Graphing Quadratic Functions With Quadratic Formula Worksheet With Answers

Related posts of "Quadratic Formula Worksheet With Answers"

Geometry Conditional Statements Worksheet With Answers - Promotiontablecovers with Conditional Statement Worksheet Geometry

Conditional Statement Worksheet Geometry

How to Use Conditional Statement Worksheets to Master GeometryMastering geometry can be a challenging and daunting task for students. However, by using conditional statement worksheets, students can gain a better understanding of the subject, and develop the skills to solve complex problems. A conditional statement involves presenting a hypothesis, followed by a conclusion. It is...

Solving Equations With Variables On Both Sides Word Problems Worksheet inside Solving Equations Word Problems Worksheet

Solving Equations Word Problems Worksheet

How to Effectively Utilize Solving Equations Word Problems Worksheets in the Math ClassroomSolving equations word problems worksheets can be an effective tool for teaching math in the classroom. Used correctly, these worksheets can help students learn to solve equations with confidence and accuracy. The following tips can help teachers make the most of these worksheets...

Ecological Relationships Worksheet Key → Waltery Learning Solution For throughout Principles Of Ecology Worksheet Answers

Principles Of Ecology Worksheet Answers

Understanding the Impact of Human Activity on the Environment: Exploring the Principles of Ecology Worksheet AnswersThe principles of ecology are essential for understanding the impact of human activity on the environment. Ecology is the study of the interactions between organisms and their environment, and it is an important tool for understanding the effects of human...

50 Nutrient Cycles Worksheet Answers | Chessmuseum Template Library with regard to Cycles Worksheet Answer Key

Cycles Worksheet Answer Key

Exploring the Benefits of Using a Cycles Worksheet Answer KeyUsing a cycles worksheet answer key can be an invaluable resource for students and educators alike. By providing students with an answer key, educators can provide an effective means to promote better understanding of the material being taught. A cycles worksheet answer key is a comprehensive...