The Distance Formula Worksheet

Exploring the Benefits of Using a Distance Formula Worksheet for Math Class.

Math classes often require students to learn and understand complex concepts. A distance formula worksheet can be an invaluable tool to help students grasp these concepts. By providing a visual representation of a mathematical problem, the worksheet can help students understand the problem and its solution.

The Distance Formula Worksheet Pertaining To The Distance Formula Worksheet

The distance formula worksheet is a simple and easy-to-understand way to solve problems related to the distance between two points. The worksheet allows students to visualize the problem and understand how to use the distance formula to solve it. This visual representation helps students to better comprehend the problem and understand the underlying mathematical principles.

30 The Distance Formula Worksheet | Education Template For The Distance Formula Worksheet

The worksheet can be used to solve problems related to the distance between two points, such as the distance between two cities, two points on a map, or two points in a room. It can also be used to calculate the length of a line, or to calculate the area of a circle or other shape.

[toc]

The worksheet can be used to reinforce concepts that have already been discussed in class. For example, the distance formula can be used to determine the time taken to travel between two points, or the distance between two points on a map. This can help students to understand the concept of time and distance in a more tangible way.

50 The Distance Formula Worksheet | Chessmuseum Template Library Throughout The Distance Formula Worksheet

The worksheet can also be used to practice problem solving and to reinforce the understanding of mathematics. By using the distance formula worksheet, students can practice solving a problem and then use the results to make decisions. This encourages independent thinking and helps students develop their problem-solving skills.

The worksheet can also be used to help students learn the fundamentals of mathematics. By providing a visual representation of a problem, the worksheet can help students understand the concepts and apply them to real-world scenarios. This can help students gain a deeper understanding of mathematics and develop a better understanding of how to use mathematics to solve real-world problems.

30 The Distance Formula Worksheet | Education Template For The Distance Formula Worksheet

The distance formula worksheet can be an invaluable tool for math classes. By providing a visual representation of a problem, the worksheet can help students understand the problem and its solution, while reinforcing the concepts taught in class. This can help students to better understand and apply mathematics and develop problem-solving skills.

Teaching the Distance Formula with Interactive Worksheets.

The distance formula is a key concept in geometry and algebra, and is essential for students to understand before they can move on to more advanced mathematics. Teaching the distance formula can be a challenging task, especially for students who are not yet comfortable with the concepts of algebra. Luckily, there are several interactive worksheets available that can make learning the distance formula easier and more engaging for students.

30 The Distance Formula Worksheet Answers | Education Template Pertaining To The Distance Formula Worksheet

These worksheets are designed to help students visualize the distance formula and gain an understanding of how it works. They include a variety of activities, such as graphing points on a coordinate plane, calculating the distance between two points, and identifying patterns in the answers. Through these activities, students gain a better understanding of the distance formula and learn how to apply it in real-world scenarios.

The worksheets also incorporate a variety of interactive elements to make learning the distance formula fun and engaging. Students can use colorful markers to trace the paths between points, or they can use a ruler to measure the distance between points. Additionally, many of the worksheets offer interactive quizzes and games that allow students to test their understanding of the formula and its applications.

Using interactive worksheets to teach the distance formula is a great way to make the learning process more enjoyable for students. Not only do the worksheets provide a visual representation of the concepts, but they also offer an opportunity for students to practice the formula and gain a deeper understanding of how it works. With these worksheets, students can develop their problem-solving skills and gain confidence in their ability to apply the distance formula to real-world scenarios.

How to Create Engaging Distance Formula Worksheets for Your Math Class.

Creating engaging distance formula worksheets for your math class can be a challenging but rewarding task. By presenting students with an exciting and interactive activity, you can encourage them to learn and apply the distance formula to their own problems. Here are some tips to help you create engaging distance formula worksheets for your math class.

1. Begin with a brief overview of the distance formula. Introduce the formula to your students and explain what it means and how it works. This will help your students understand the concept and be more engaged in the activity.

2. Include plenty of examples. Show your students how to use the distance formula to calculate the distance between two points. Provide your students with plenty of examples so they can become familiar with the formula and understand how to apply it to their own problems.

3. Offer a variety of practice problems. Create a range of problems that vary in difficulty to keep your students engaged. You can also provide students with different types of problems, such as finding the shortest distance between two points or finding the total distance traveled by an object.

4. Use visuals to make the worksheet more engaging. Include visuals such as diagrams, charts, or graphs to make the worksheet more appealing and easier to understand.

5. Allow for creativity. Give your students the opportunity to be creative and come up with their own distance formula problems. This will help them to think outside of the box and become more engaged in the activity.

By following these tips, you can create engaging distance formula worksheets for your math class that will help your students gain a better understanding of the distance formula and apply it to their own problems.

Conclusion

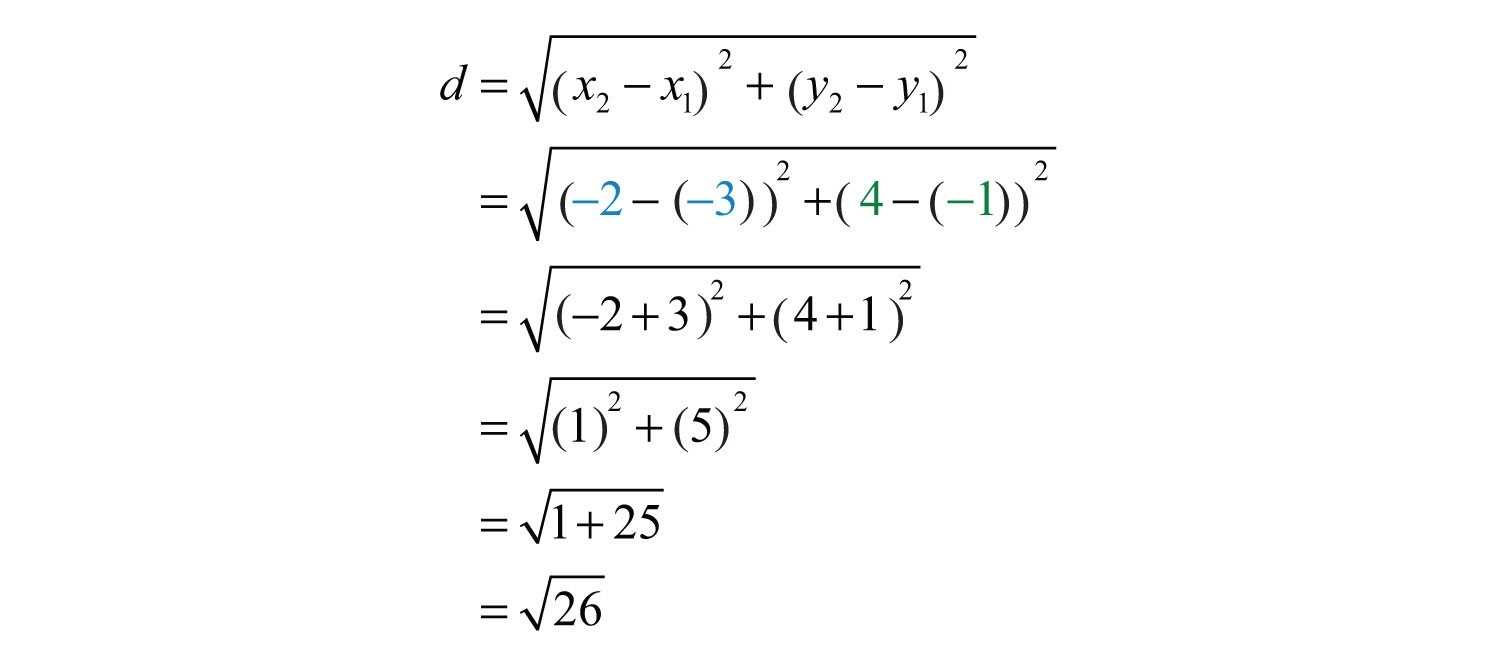
The Distance Formula Worksheet provides a great introduction to the distance formula and its application in real-world scenarios. It is an excellent resource for students as they learn to calculate distances between two points in the coordinate plane. Furthermore, it can also be used to demonstrate the relationship between the x- and y-coordinates of a given point and its corresponding distance from the origin. This worksheet can help students to develop an understanding of the distance formula and its use in problem-solving.

[addtoany]

5 photos of the "The Distance Formula Worksheet"

The Distance Formula Worksheet Pertaining To The Distance Formula Worksheet30 The Distance Formula Worksheet | Education Template For The Distance Formula Worksheet50 The Distance Formula Worksheet | Chessmuseum Template Library Throughout The Distance Formula Worksheet30 The Distance Formula Worksheet | Education Template For The Distance Formula Worksheet30 The Distance Formula Worksheet Answers | Education Template Pertaining To The Distance Formula Worksheet

Related posts of "The Distance Formula Worksheet"

Sentences Worksheets | Run On Sentences Worksheets with Run On Sentence Worksheet Pdf

Run On Sentence Worksheet Pdf

How to Use a Run On Sentence Worksheet PDF to Improve Your Writing1. Read through the run-on sentence worksheet PDF carefully and make sure you understand the definitions and examples provided. 2. As you read through the worksheet, highlight any areas or terms that you don't understand and research them further. 3. Once you've read...

Solved Genetics Practice Problems - Worksheet Аа Bb Cc Dd 2. | Chegg with regard to Genetics Practice Problems Worksheet

Genetics Practice Problems Worksheet

1.Using Genetics Practice Problems Worksheets to Improve Understanding of Genetic ConceptsGenetic Practice Problems Worksheets are an invaluable tool for improving understanding of genetic concepts. These worksheets can help students become more familiar with the vocabulary and concepts related to genetics, as well as the mathematical equations used to calculate genetic probabilities. They are also a...

Darwins Natural Selection Worksheet — Db-Excel within Darwin'S Natural Selection Worksheet

Darwin’s Natural Selection Worksheet

Exploring the Impact of Natural Selection on the Evolution of SpeciesNatural selection is a mechanism of evolution that is driven by the environment and has been an integral factor in the development and diversification of species. This process occurs when certain traits increase the chances of survival and reproduction in a given environment, allowing them...

30 Speed Velocity And Acceleration Worksheet | Education Template regarding Speed Velocity And Acceleration Worksheet

Speed Velocity And Acceleration Worksheet

Exploring the Fundamentals of Speed, Velocity, and Acceleration with a WorksheetSpeed, velocity, and acceleration are three important concepts in physics that help us to understand the motion of objects. Speed is defined as the rate of change of an object's position over a certain amount of time. Velocity is the rate of change of an...