Unpacking the Distance Formula Worksheet Answers: A Comprehensive Guide for Students
The Distance Formula is a fundamental mathematical concept that students must understand in order to accurately solve problems involving distances between two points. To ensure that students fully comprehend the formula, teachers often assign Distance Formula Worksheets. The answers to these worksheets can be difficult to unpack, but with a comprehensive guide, students can understand the formula and learn how to use it correctly.
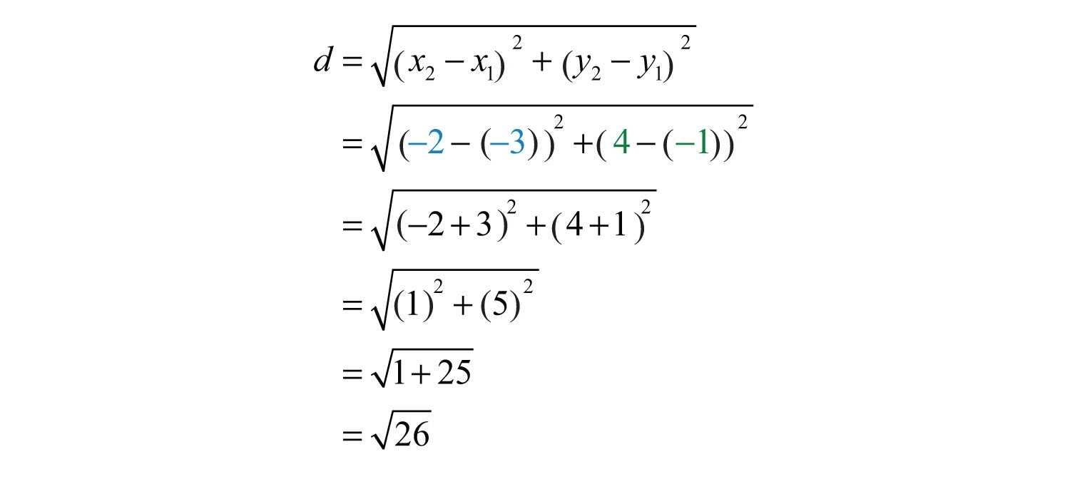
The Distance Formula states that the distance between two points (x1, y1) and (x2, y2) is equal to the square root of (x2 – x1)^2 + (y2 – y1)^2. To effectively answer a Distance Formula Worksheet, students must be able to recognize each component of the formula and apply it to the given problem.
To begin, students must identify the coordinates of the two points given in the question. Once the coordinates have been determined, the formula can be applied. The first step is to calculate the difference between the coordinates of the two points. This is accomplished by subtracting the x-coordinate of the first point from the x-coordinate of the second point, and then subtracting the y-coordinate of the first point from the y-coordinate of the second point.
[toc]
Next, students must take the differences and square each one. This is accomplished by multiplying each difference by itself. It is important to note that the order of operations must be followed when squaring each difference.
Finally, students must add the two squared differences to obtain the total. This total is then placed under the radical sign, or square root sign, to obtain the answer.
With this comprehensive guide, students can easily unpack the answers to a Distance Formula Worksheet. By understanding the components of the formula and applying it correctly, students can learn to accurately solve problems involving distances between two points.
Understanding the Distance Formula Worksheet Answers: An Overview of Key Concepts
The distance formula is an equation used to determine the distance between two points on a coordinate plane. It is an important tool for mathematicians, scientists, and engineers alike.
The formula for the distance between two points (x1, y1) and (x2, y2) is:
d = √((x2-x1)^2 + (y2-y1)^2)
The equation can be interpreted as follows: first, subtract the x-coordinates of the two points and square the result. Then, subtract the y-coordinates of the two points and square the result. Finally, add the two squared values together, and take the square root of the sum to find the distance between the two points.
The distance formula can also be applied to three-dimensional space, using the following formula:
d = √((x2-x1)^2 + (y2-y1)^2 + (z2-z1)^2)
This formula works in the same way as in two-dimensional space, but instead of two coordinates, it uses three.
The distance formula can be used for a variety of applications. For example, it can be used to calculate the distance between two cities on a map, or to calculate the distance between two objects in an experiment. It can also be used to calculate the length of a line segment, or to measure the circumference of a circle.
Overall, the distance formula is a simple and powerful equation that has many practical applications. Knowing how to use it correctly can lead to a better understanding of mathematics and help to solve a variety of problems.
Exploring the Benefits of Using the Distance Formula Worksheet Answers in Math Class
The use of the distance formula worksheet answers in math class has numerous benefits for students. Firstly, it allows them to explore and understand the concept of distance and its application in everyday life. By working through the problems on the worksheet, students can gain a better understanding of the topic and begin to appreciate the importance of the distance formula.
Furthermore, the worksheet encourages students to practice their problem-solving skills. By working through the questions, students can become more familiar with the concept of distance and apply it to more complex problems. This can help them to improve their problem-solving ability and develop their confidence in solving problems.
The worksheet also provides an opportunity for students to work collaboratively in a group setting. By working together, students can share their ideas and strategies for solving the problems. This encourages a deeper understanding of the concept of distance and can help to foster a sense of collaboration amongst students.
Finally, the worksheet is a great resource for teachers looking to teach the concept of distance. By providing students with the worksheet, teachers can make sure that every student is on the same page and has a basic understanding of the topic. This can help to ensure that the curriculum is properly covered and that all students have a good grasp of the concept.
In conclusion, the distance formula worksheet answers can be an invaluable resource in math class. It can help to promote problem solving skills and collaboration amongst students while providing teachers with an effective way of teaching the topic of distance. By providing students with the worksheet, teachers can ensure that the curriculum is properly covered and that all students have a good grasp of the concept.
Conclusion
The Distance Formula Worksheet Answers provide a great way to practice and review the basics of the distance formula. It helps students develop an understanding of the formula, as well as a strategy to apply it when solving problems. It also provides a platform to practice and review the concepts related to the formula, such as the Pythagorean Theorem. With the help of the worksheet answers, students can gain a better understanding of the formula, and how to apply it in different scenarios.
[addtoany]












