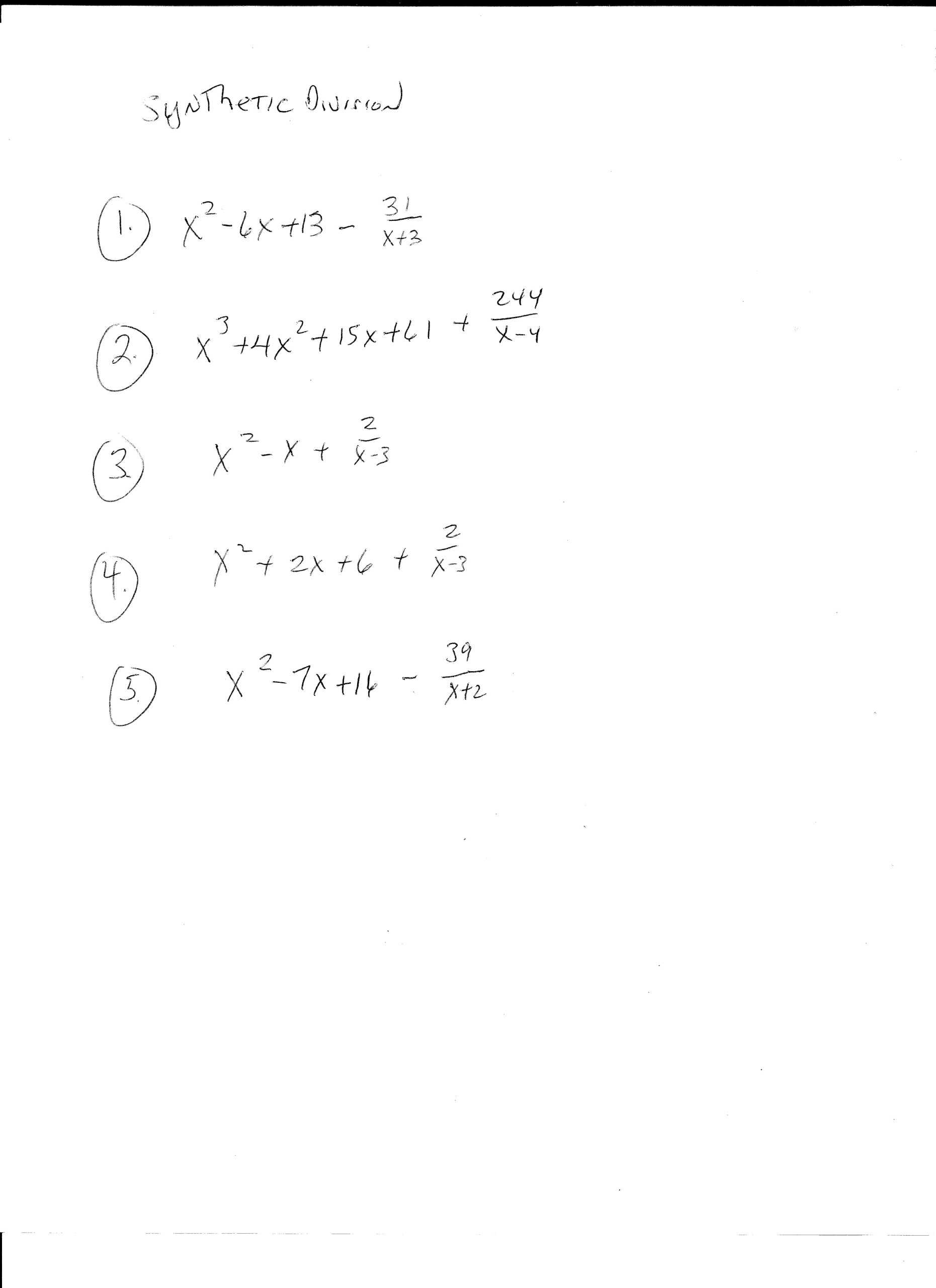
Exploring Synthetic Division Worksheets: A Guide to Solving Polynomials with Ease
Synthetic division is a powerful tool that can be used to solve polynomials with ease. It is a simplified version of the long division algorithm, which is often used to divide two polynomials. Synthetic division worksheets provide students with a step-by-step process for solving polynomials using this method.
The first step in using synthetic division worksheets is to identify the polynomial that needs to be solved. Once this is done, the worksheet will provide a set of instructions to guide the student through the process. Typically, the user will be asked to enter the coefficients of the polynomial, along with the degree of the polynomial. In most cases, the degree of the polynomial must be less than the degree of the divisor.
Next, the user will be asked to enter the divisor. This is typically a number that is greater than the degree of the polynomial. Once the divisor is entered, the user will be asked to enter a remainder. This is typically a number that must be divisible by the divisor. Once both coefficients and the remainder have been entered, the user will be asked to perform the division.
[toc]
When performing the division, the user must follow the instructions provided in the synthetic division worksheet. The instructions will usually include instructions for each step of the division. The instructions will also typically include instructions for determining the remainder. Once the division is complete, the result will be displayed in a table.
The synthetic division worksheet will provide a number of examples of polynomials that can be solved using this method. The user can then use these examples as a guide to solve polynomials with ease.
Synthetic division worksheets are an invaluable tool for students who are learning how to solve polynomials. By following the instructions provided in the worksheet, students can easily and quickly solve polynomials using synthetic division. This will help them understand the concept better and make it easier for them to solve polynomials in the future.
A Step-by-Step Guide to Using Synthetic Division Worksheets with Solutions
Synthetic division is a method of polynomial division that is used to divide polynomials with a degree greater than one. It is a useful tool for solving equations that involve polynomials with a high degree. This guide will provide a step-by-step approach to using synthetic division worksheets with solutions.
Step 1: Identify the Polynomial
The first step in solving a synthetic division problem is to identify the polynomial that will be divided. This can be done by listing the coefficients of the polynomial, starting with the highest degree coefficient and working your way down. For example, the polynomial 2x^3 + 5x^2 – 3x + 7 would be written as [2, 5, -3, 7].
Step 2: Set Up the Worksheet
Once the polynomial is identified, the second step is to set up the worksheet. This involves writing the coefficients of the polynomial in a row, followed by a zero. The coefficients should be written in order from highest degree to lowest degree. For example, the polynomial 2x^3 + 5x^2 – 3x + 7 would be written as [2, 5, -3, 7, 0].
Step 3: Identify the Divisor
The third step is to identify the divisor of the polynomial. This is usually the coefficient of the highest degree term. In this example, the divisor is 2.
Step 4: Perform the Synthetic Division
The fourth step is to perform the synthetic division. This involves dividing the coefficients of the polynomial by the divisor. The result of this division should be written in a column below the coefficients. For example, in this example the division would look like this:
2 / 2 = 1
5 / 2 = 2.5
-3 / 2 = -1.5
7 / 2 = 3.5
Step 5: Check the Results
The final step is to check the results of the division. This can be done by multiplying the divisor and the results of the division and then adding the coefficients. If the sum is equal to the original polynomial, then the division has been done correctly. In this example, the sum would be 1*2 + 2.5*5 + (-1.5*-3) + 3.5*7 = 2x^3 + 5x^2 – 3x + 7, which is equal to the original polynomial.
Using synthetic division worksheets with solutions can help you quickly and accurately divide polynomials with a high degree. By following the steps outlined in this guide, you can easily solve polynomial equations using synthetic division.
Examining the Benefits of Working with Synthetic Division Worksheet with Answers
Synthetic division is an algebraic tool that can be used to divide polynomials by a linear factor. This method is particularly useful when working with polynomials that have a high degree of complexity or that require a long division process. Working with a synthetic division worksheet can provide numerous benefits to students and those who are looking to practice their problem-solving skills.
The first benefit of using a synthetic division worksheet is that it can help students gain a better understanding of the division process. Through the use of the worksheet, students will be able to practice and understand the different methods of dividing polynomials. This can be beneficial in helping them develop their mathematical skills and gain an understanding of the concept. Additionally, it can also be used to help those who are new to the concept of synthetic division to become familiar with the process.
The second benefit of using a synthetic division worksheet is that it can help to improve problem-solving skills. By working through the worksheet, students can practice and gain an understanding of how to solve a range of problems. This can be beneficial in helping them to become more adept at solving complex problems, as well as being able to think through a problem and determine the best solution.
The third benefit of working with a synthetic division worksheet is that it can provide a useful tool for those who are looking to practice their problem-solving skills. The worksheet can be used to practice the different methods of dividing polynomials and can provide a platform for students to practice their skills in problem-solving. This can be beneficial in helping them to become more proficient in problem-solving and in developing their mathematical skills.
The fourth benefit of using a synthetic division worksheet is that it can help to speed up the process of solving a problem. By using the worksheet, students can practice the different methods of dividing polynomials and can quickly identify the best solution to any problem. This can be beneficial in saving time and energy, as well as providing a more efficient way of solving a problem.
Overall, working with a synthetic division worksheet can provide numerous benefits to students and those who are looking to practice their problem-solving skills. By using the worksheet, students can practice the different methods of dividing polynomials and can gain a better understanding of the concept. Additionally, it can also help to improve problem-solving skills and can provide an efficient way of solving a problem.
Synthetic Division Worksheets: How to Master the Process and Ace Your Exams
Synthetic division is a mathematical process used to divide two polynomials. It is a valuable tool for solving complex equations and can help students ace their exams.
The process of synthetic division begins with the highest term of the divisor (the number being divided) and the dividend (the number being divided into). The first step is to write the dividend and the divisor in the correct order. This can be done with either long division or synthetic division.
Once the dividend and the divisor are written, the coefficients of the terms in the dividend and the divisor must be written in a row. The coefficients are the numbers that appear in front of the variables in the equation. The first coefficient in the dividend should remain in the same order as it was when it was written.
After the coefficients are written, the coefficients of the divisor should be divided into the coefficients of the dividend. The result should be written in the same row as the coefficients of the dividend. The result of the division is the quotient.
Next, the remainder should be calculated by multiplying the coefficients of the divisor with the quotient. The result should be written in the same row as the coefficients of the dividend and the divisor.
The last step is to subtract the remainder from the dividend. The result should be written in the same row as the dividend and the divisor.
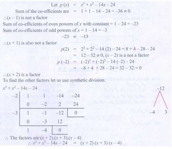
Synthetic division can be an invaluable tool for students to use when solving complex equations. By mastering the process of synthetic division, students can easily solve their equations and ace their exams. Synthetic division worksheets can be an excellent resource for students to practice the process and become comfortable with it. Synthetic division worksheets can help students gain a thorough understanding of the process and develop their problem-solving skills.
Conclusion
The Synthetic Division Worksheet with Answers provides a useful way to practice synthetic division and consolidate understanding of the procedure. It offers a clear explanation for each step, making it easier to understand the process and how it works. With practice and guidance, students should be able to understand synthetic division and be able to apply it to solve problems.
[addtoany]












