Exploring Division Of Polynomials: A Step-By-Step Guide to Using a Division Of Polynomials Worksheet
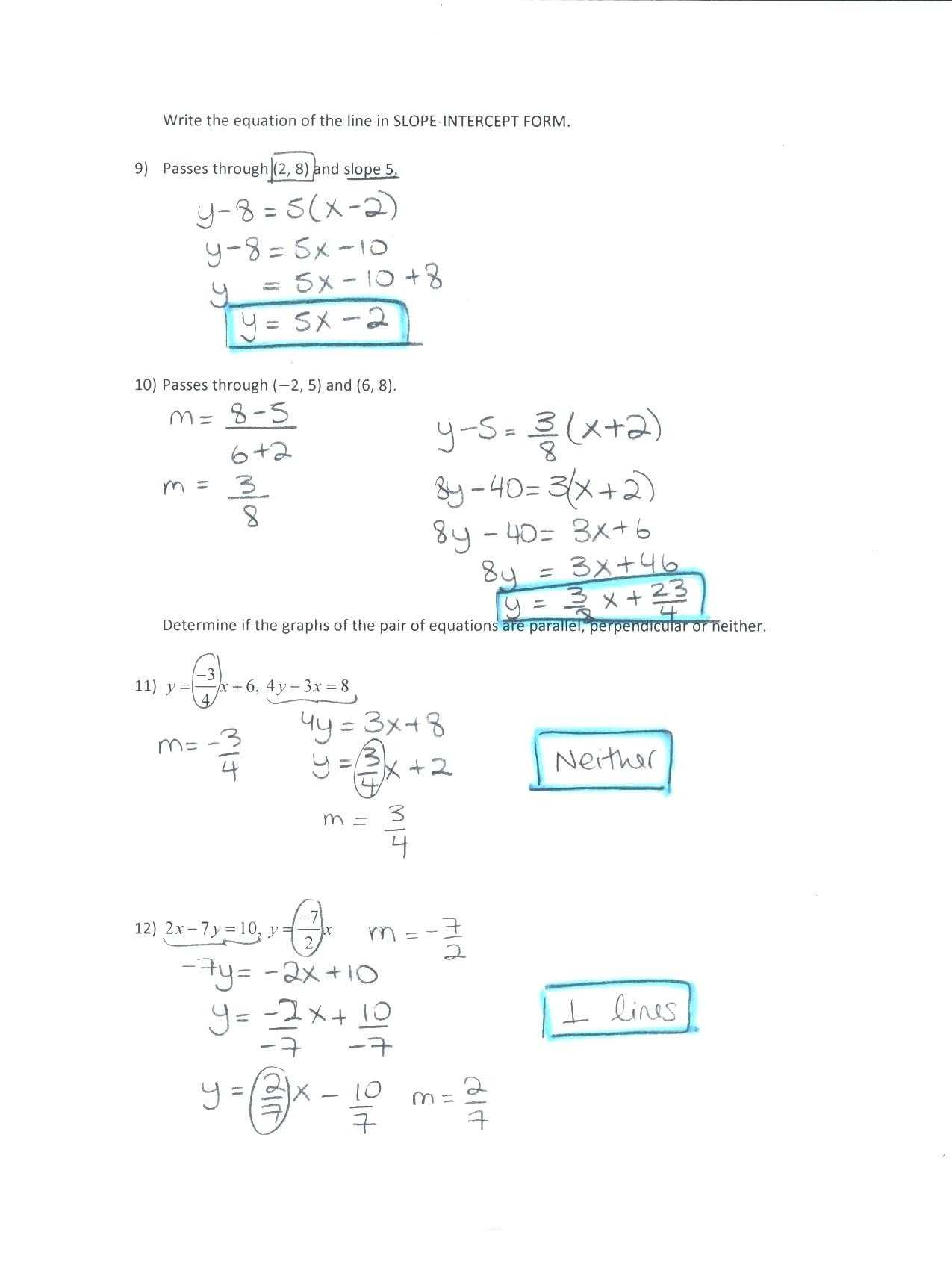
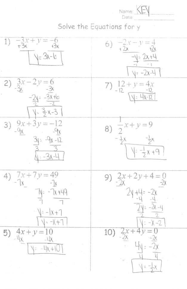
Division of polynomials is a vital skill to master in mathematics. This step-by-step guide will provide a thorough explanation of how to use a division of polynomials worksheet.
First, it is important to understand the terminology used in this type of worksheet. A polynomial is a mathematical expression that is composed of variables and coefficients. A coefficient is a number that is multiplied by a variable. The degree of a polynomial is the highest power of the variable that appears in the expression.
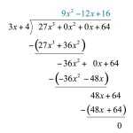
Second, the worksheet will ask for the dividend, divisor, and the quotient. The dividend is the number or expression that is to be divided. The divisor is the number or expression by which the dividend is divided. The quotient is the result of the division.
[toc]
Third, the worksheet will have a series of boxes in which the dividend, divisor, and quotient can be entered. The dividend should be entered in the first box, followed by the divisor in the second box, and the quotient in the third box.
Fourth, the worksheet will ask for the degree of the dividend and divisor. If the degree is unknown, the worksheet will ask for the number of terms that are in the dividend and divisor.
Fifth, the worksheet will ask the student to identify the highest power of the variable in the dividend and divisor. This will be used to determine the degree of the dividend and divisor.
Sixth, the worksheet will ask the student to divide the coefficients of the dividend and divisor. The quotient should be written in the third box.
Seventh, the worksheet will ask the student to subtract the degree of the dividend from the degree of the divisor. This should be written in the fourth box.
Eighth, the worksheet will ask the student to divide the coefficients of the dividend and divisor using long division. The remainder should be written in the fifth box.
Finally, the worksheet will ask the student to divide the coefficients of the remainder and divisor using long division. The quotient should be written in the sixth box.
By following these steps, students will be able to successfully use a division of polynomials worksheet. With practice, students will be able to master this skill and use it in many types of math problems.
Common Pitfalls to Avoid When Completing Division Of Polynomials Worksheets
1. Not Reading the Instructions Carefully: It is important to read through the instructions provided on the worksheet carefully before beginning the exercise. This will help ensure that you understand the requirements of the task, as well as any special instructions or tips that are provided.
2. Incorrectly Dividing Polynomials: Dividing polynomials can be a tricky process and it is important to pay close attention to the order of operations to ensure that you are correctly performing the math. Take your time and double-check your work to avoid any mistakes.
3. Skipping Steps: When completing a division of polynomials worksheet, it is important to follow the steps provided in order to ensure that you are correctly performing the task. If you skip a step, it could lead to incorrect answers.
4. Not Simplifying the Results: Be sure to simplify the results of your division of polynomials worksheet to their lowest terms. This will help to make the results more meaningful and easier to interpret.
5. Not Graphing the Results: If the worksheet requires you to graph the results of your division of polynomials, be sure to do so. This will allow you to better visualize the results and gain a better understanding of the mathematics involved.
Making Division Of Polynomials Worksheets More Accessible: Tips and Strategies for All Learners
Division of polynomials can be a difficult concept to grasp for many students, and it is important for educators to provide materials and strategies that make the process more accessible for learners of all types. Here are some tips and strategies for making division of polynomials worksheets more accessible to all learners.
1. Provide a variety of worksheet formats: Different learners may respond better to different worksheet layouts. Consider providing worksheets with different formats such as grids, tables, and equations. This can help learners to engage in the material in a way that works best for them.
2. Break the worksheet into smaller parts: For some learners, a single page of division of polynomials questions may be overwhelming. Consider breaking the worksheet into smaller parts, so that learners can focus on one component of the process at a time.
3. Use visual cues: Visual cues such as diagrams, charts, and graphs can be useful for students who are visual learners. Using visuals can help to break down the process of division of polynomials into smaller steps, making it easier for students to understand and complete the worksheet.
4. Give instructions in multiple formats: Providing instructions for the worksheet in multiple formats can help to ensure that all learners have access to the material. Consider providing instructions in both written and verbal formats, as well as providing visuals or diagrams to accompany the instructions.
5. Offer scaffolded worksheets: Providing worksheets with a variety of difficulty levels can help to ensure that all learners can access the material. Consider providing worksheets with more simple problems first and gradually increasing the difficulty level as the student progresses.
By following these tips and strategies, educators can help to make division of polynomials worksheets more accessible for all learners. By providing a variety of worksheet formats, breaking the worksheet into smaller parts, using visual cues, giving instructions in multiple formats, and offering scaffolded worksheets, educators can ensure that all learners have access to the material.
Conclusion
In conclusion, division of polynomials worksheets can be a great way to help students understand the concept of division of polynomials. By providing students with a worksheet that is filled with different types of division problems, they can practice and gain confidence in their ability to solve these types of problems. They can also use the worksheets to reinforce their understanding of the concept and learn more about it.
[addtoany]












