A Comprehensive Guide to Simplifying Radicals Worksheets
Radicals are a type of mathematical expression that represent the root of a number. Simplifying radicals worksheets are a great way to practice and review this concept. This guide will provide an overview of what radicals are, why they’re important, and the best ways to use simplifying radicals worksheets.
What are Radicals?
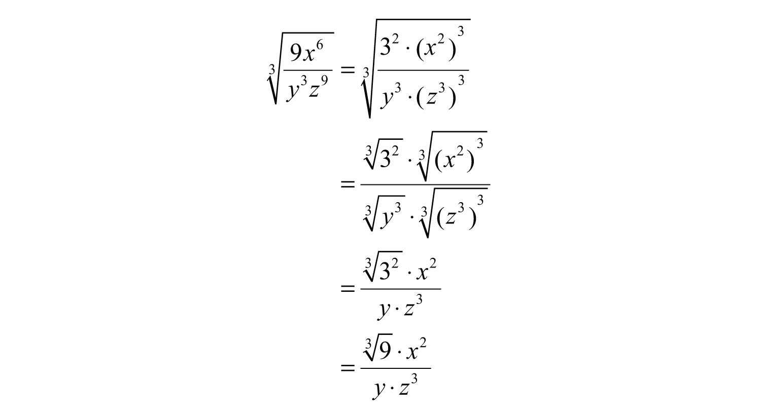
Radicals are mathematical expressions that represent the root of a number. A radical is written as a fraction with a numerator and denominator, where the numerator represents the root and the denominator represents the degree of the root. For example, the square root of 16 is written as a radical using the fraction √16/2.
[toc]
Why are Radicals Important?
Radicals are important because they provide a way to represent the roots of numbers. This allows us to solve equations involving roots and simplify equations with multiple radicals. In addition, radicals are useful for representing irrational numbers, which are numbers that can’t be expressed as fractions or decimals.
Using Simplifying Radicals Worksheets
Simplifying radicals worksheets are a great way for students to practice and review the concept of radicals. These worksheets can be used to help students practice simplifying radicals, understanding the rules of radicals, and finding the roots of numbers.
When using simplifying radicals worksheets, it’s important to provide students with clear instructions and examples. It’s also important to ensure that the worksheets are designed to challenge the students without being too difficult. Additionally, it’s beneficial to provide students with a variety of worksheets that focus on different aspects of the concept.
Simplifying radicals worksheets can be used in a variety of ways. They can be used as a review tool, a homework assignment, or a test preparation tool. Additionally, they can be used in group or individual activities.
Conclusion
Simplifying radicals worksheets are a great way to practice and review the concept of radicals. These worksheets should be designed to challenge the students without being too difficult and should provide clear instructions and examples. Simplifying radicals worksheets can be used for a variety of purposes, including review, homework assignments, and test preparation.
Tips and Tricks for Mastering Radicals With a Simplifying Radicals Worksheet
1. Start with the Basics: Before attempting to tackle more complex problems on a simplifying radicals worksheet, it is important to make sure that you understand the basics of radicals. Make sure you understand the basics of radicals, such as how they are written, the rules for simplifying them, and the operations you can use to solve them.
2. Utilize Examples: To properly master simplifying radicals, it is important to review examples of how to solve them. Use the examples on your simplifying radicals worksheet as a reference to help you better understand the problems. Pay close attention to the way the example was solved and apply the same steps to the problems you are attempting to solve.
3. Use Practice Problems: To really master simplifying radicals, it is important to practice them. Even if you feel like you have a good understanding of simplifying radicals, it is important to keep practicing. This will help reinforce your understanding of the topic and help you build up your ability to quickly and easily solve the problems.
4. Take Time to Review: Taking the time to review your work is an important part of mastering radicals. After solving each problem, take a moment to review your work. Make sure that you understand how each step was completed and that the final answer makes sense. Taking the time to review will help you better understand the problem and will help you more easily solve similar problems in the future.
5. Seek Assistance: If you feel like you are struggling with simplifying radicals, don’t be afraid to reach out for help. Ask your teacher, a tutor, or a friend for assistance. They may be able to provide you with further explanations or examples that will help you understand the topic better.
How to Use a Simplifying Radicals Worksheet for Maximum Efficiency
Using a simplifying radicals worksheet can be an effective way to improve your understanding of mathematical concepts related to simplifying radicals. To ensure maximum efficiency when using a simplifying radicals worksheet, there are several key steps to follow.
First, it is important to understand the concepts associated with simplifying radicals. This will help you to better interpret the questions and solve equations on the worksheet. After familiarizing yourself with the concepts, you should then review the worksheet and identify which equations need to be solved.
Once you have identified the equations to be solved, it is important to read the instructions carefully. Make sure that you understand what is required for each equation. If you are unsure of anything, it is wise to consult a teacher or other knowledgeable source for assistance.
Next, it is important to use the appropriate tools to solve the equations. This can include using a calculator, graph paper, and other common algebra tools. It is important to remember to use the tools correctly to ensure you get accurate results.
Finally, it is important to check your work after you have solved each equation. This will help to ensure that your answers are correct. Additionally, it is important to review the worksheet after it has been completed to ensure that all equations were solved correctly.
By following these steps, you will be able to maximize your efficiency when using a simplifying radicals worksheet. Doing so will help to improve your understanding of this important mathematical concept.
5 Benefits of Using a Simplifying Radicals Worksheet in Math Class
1. Enhanced Understanding of the Radical Concept: A Simplifying Radicals Worksheet helps students to build a better understanding of the concept of radicals. By providing an organized and systematic way to break down the radical expression, students are able to gain a better grasp of the underlying principles and apply them to future problems.
2. Improved Problem-Solving Skills: Working through a Simplifying Radicals Worksheet helps to improve problem-solving skills in math class. By having to break down the radical expression into its component parts and then solve for the answer, students are able to develop their ability to solve complex problems and think logically.
3. Reinforcement of Concepts Taught in Class: A Simplifying Radicals Worksheet provides reinforcement of the concepts taught in math class. By providing students with a set of problems that test their knowledge of the material covered in class, they are able to practice the material and become more comfortable with the concepts.
4. Improved Math Skills: Working through a Simplifying Radicals Worksheet can also help students to improve their math skills. By providing students with an organized and systematic way to work through a problem, they will be able to practice the material and become better at solving problems that involve radicals.
5. Increased Confidence in Math: Finally, a Simplifying Radicals Worksheet can help to increase students’ confidence when it comes to math. By providing students with an organized and systematic approach to problem-solving, they will be better able to understand the underlying principles and apply them to other math problems. This increased confidence can have a positive impact on their test scores and overall performance in math class.
Conclusion
The Simplifying Radicals Worksheet 1 is a great way to learn about radical expressions and their uses. It provides a clear step-by-step guide to understanding and simplifying these expressions. With practice and a few helpful reminders, anyone can become more comfortable with radicals and their applications.
[addtoany]












