How to Use a Simplifying Radicals With Variables Worksheet for Maximum Effect.
Using a Simplifying Radicals With Variables Worksheet for maximum effect is an effective way to practice and review the skill of simplifying radical expressions. This type of worksheet consists of a series of equations containing radicals with variables. The goal is to simplify each expression as much as possible by reducing the radicals and combining like terms.
In order to use a Simplifying Radicals With Variables Worksheet for maximum effect, it is important to review the rules and procedures for simplifying radical equations prior to completing the worksheet. This will ensure that students understand the concepts and can apply them to their own work. Additionally, it is important to provide students with the appropriate tools, such as calculators and scratch paper, to assist them in their work.
When completing a Simplifying Radicals With Variables Worksheet, students should work carefully and methodically. It is important to read and understand each equation before attempting to solve it. Students should make sure to pay attention to the order of operations, and use parentheses when needed. Additionally, students should look for patterns in the equations and be sure to keep track of the variables throughout the process.
[toc]
Once all of the equations have been solved, students should take the time to review their answers. This is an important step to ensure that they have simplified each equation correctly. Additionally, it is a good idea to compare the answers to the original equations to ensure that all of the radical expressions were simplified correctly.
Finally, it is important to provide students with feedback on their work. This can be done by providing them with a grade or score based on how much they simplified each equation. It is also beneficial to provide students with detailed explanations of the steps they took to simplify each equation. This will help them to better understand the material and apply it to future problems.
By following these tips, students can use a Simplifying Radicals With Variables Worksheet for maximum effect. This worksheet is an excellent way to practice and review the skill of simplifying radical expressions. With careful practice, students can become proficient in this skill and use it to solve more complex problems.
The Benefits of Understanding Simplifying Radicals With Variables Worksheets.
Understanding simplifying radicals with variables worksheets can be a valuable tool for students in helping them to develop a better understanding of a variety of mathematical concepts. By working through these worksheets, students can develop their ability to recognize the patterns and relationships between the various elements of a mathematical expression. It can also help them to better comprehend how to simplify a radical expression into its simplest form.
One of the most important benefits of using simplifying radicals with variables worksheets is that it allows students to practice their skills in a more structured and systematic way. By working through the worksheets, students can learn to identify the key components of a radical expression and how to simplify it. Additionally, they can practice their skills in a more controlled environment, allowing them to focus more on the specific elements of the expression rather than on the bigger picture.
The worksheets also provide an opportunity for students to review their understanding of radicals. By working through the worksheets, students can quickly identify any areas that may need further study or review. This can help them to quickly recall and understand the principles involved in simplifying radicals with variables. Additionally, by looking over their work, they can also identify any mistakes they may have made while attempting to simplify the expression.
Finally, by using simplifying radicals with variables worksheets, students can build a strong foundation for future mathematical tasks. As they become more comfortable with the concepts and principles involved in simplifying radicals, they can use the worksheets to practice and hone their skills and knowledge. This can help them to become more proficient in other mathematical tasks, such as solving equations and solving word problems.
By taking advantage of the benefits of understanding simplifying radicals with variables worksheets, students can gain a greater understanding of a variety of mathematical concepts. This can help them to become more successful in their studies and better prepare them for future mathematical tasks and exams.
Step-by-Step Guide to Solving Problems on a Simplifying Radicals With Variables Worksheet.
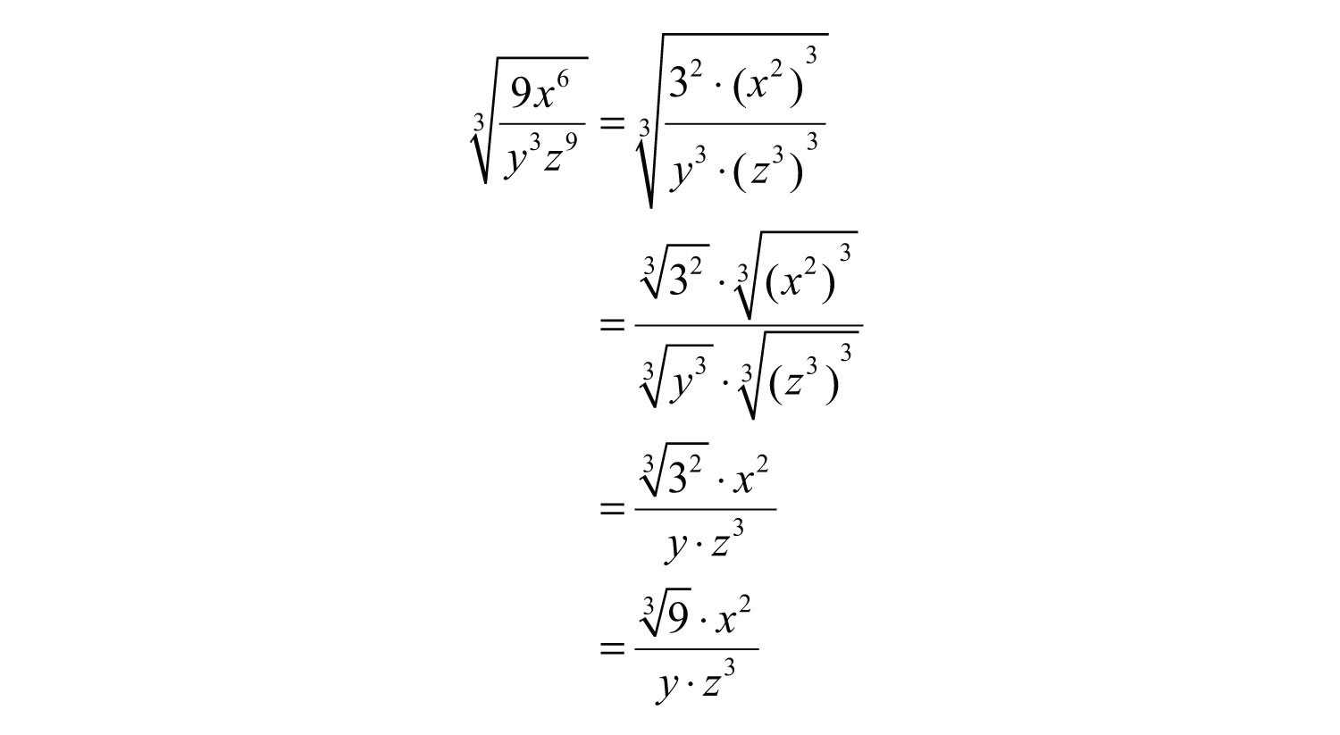
1. Read through the worksheet and familiarize yourself with the equations and the variables.
2. Identify the radicand, which is the number or expression underneath the radical sign.
3. Simplify the radicand, if necessary. This may involve multiplication and/or division, or applying the rules of exponents.
4. Isolate the variable outside of the radical by using the rule of exponents.
5. Simplify the radical by using the product and/or quotient rule.
6. Check your answer by verifying that the radicand is equal to the solution.
7. Repeat steps 1-6 for all of the problems on the worksheet.
Common Mistakes to Avoid When Working with a Simplifying Radicals With Variables Worksheet.
1. Not fully understanding the concept of radicals. Radicals are a fundamental mathematical concept and it is essential to understand how they work and how to apply them to solve problems.
2. Not using the correct operations when simplifying radicals. When simplifying radicals with variables, it is important to know the correct order of operations to ensure the correct result.
3. Forgetting to check for any extraneous or irrational roots. When simplifying radicals with variables, it is important to check for any irrational roots that may be present.
4. Not being able to clearly communicate the steps to simplify the radical. It is important to be able to clearly explain the steps taken to simplify the radical in order to ensure the correct result.
5. Not being aware of the different types of radicals. Radicals can come in different forms such as square root and cube root, and it is important to understand the different forms in order to apply them correctly.
6. Not double-checking the result. After simplifying a radical, it is important to double-check the result to ensure accuracy.
Conclusion
In conclusion, Simplifying Radicals With Variables Worksheet is a great way to help students learn the basics of simplifying radicals with variables. With the help of this worksheet, students can gain a better understanding of the topics, practice the basic principles of simplifying radicals with variables, and gain insight into the different types of radicals. This worksheet is a great starting point for students to begin their journey in simplifying radicals with variables.
[addtoany]












