Cellular Respiration Worksheet Key

Bookmark File Pdf Cellular Respiration Worksheet Answer Key (Pdf) - Vcon.duhs.edu.pk regarding Cellular Respiration Worksheet Key

How to Use a Cellular Respiration Worksheet Key to Understand Metabolic Reactions Understanding the metabolic reactions of cellular respiration can be a daunting task. However, a cellular respiration worksheet key can make the process easier. A cellular respiration worksheet key is a tool that provides an overview of the metabolic pathways involved in the process … Read more

Cellular Respiration Worksheet Answer Key

Honors Biology Cell Respiration And Photosynthesis Review Packet Answer Key regarding Cellular Respiration Worksheet Answer Key

Exploring the Cellular Respiration Worksheet Answer Key: What Does It Tell Us? The Cellular Respiration Worksheet Answer Key is a valuable educational tool for students studying biology. It provides a comprehensive overview of the process of cellular respiration and its various components. The answer key includes detailed explanations of each step in the process, as … Read more

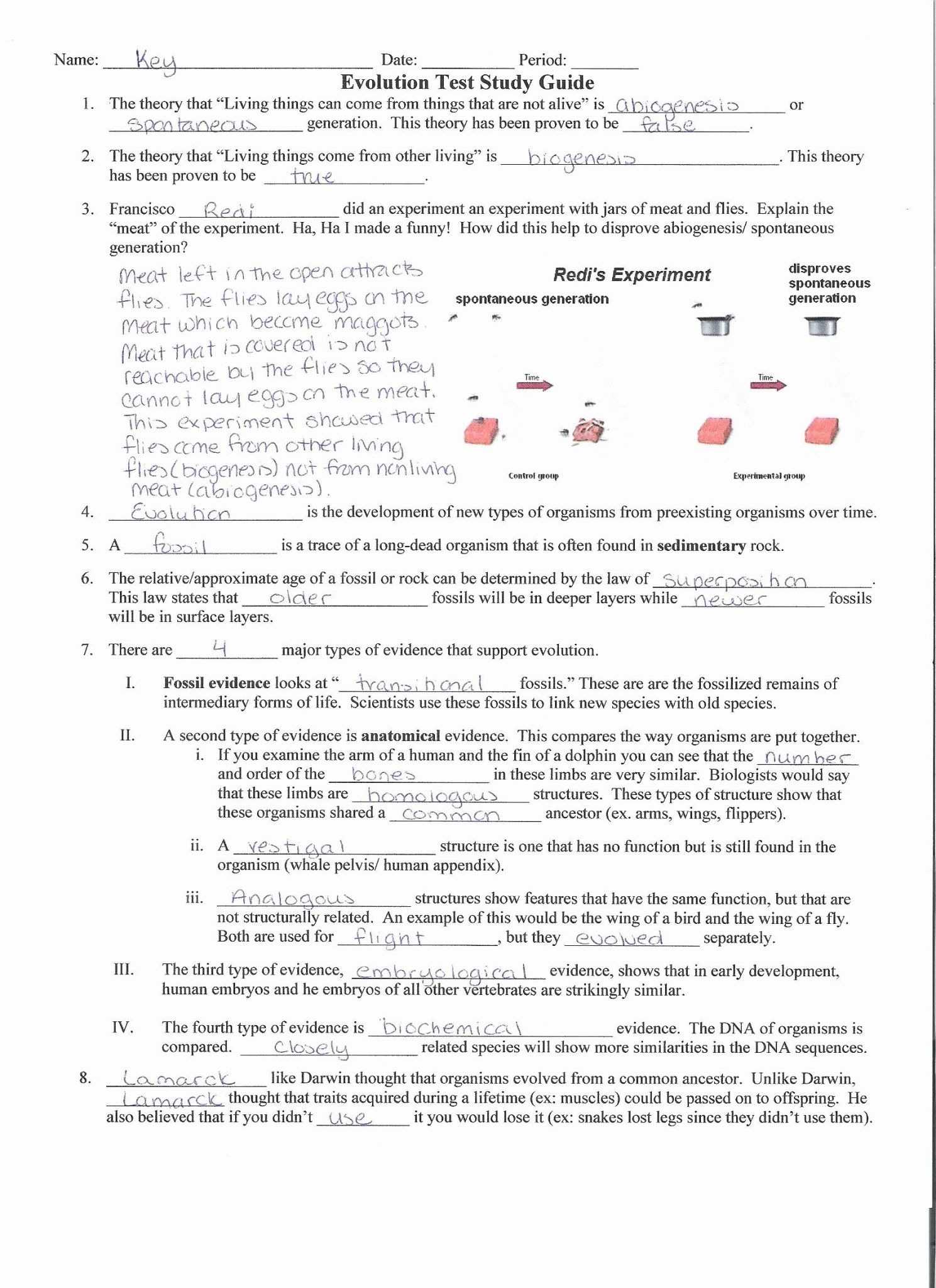
Cellular Respiration Review Worksheet

30 Cellular Respiration Worksheet Key | Education Template within Cellular Respiration Review Worksheet

Exploring the Benefits of Using a Cellular Respiration Review Worksheet in the Classroom Cellular respiration is an important part of understanding how organisms use energy to sustain themselves. As such, reviewing this process is essential for students to comprehend the concepts of energy and metabolism. A cellular respiration review worksheet can provide an excellent opportunity … Read more

Cells And Their Organelles Worksheet

30 Cell Organelles Worksheet Answer Key | Education Template with regard to Cells And Their Organelles Worksheet

Exploring the Functionality of Cells and Their Organelles with a Worksheet Cells are the building blocks of life, and their organelles are the foundation of their functioning. An understanding of the roles of each organelle is essential to comprehending the complexity of cellular processes. With this in mind, this worksheet is designed to help students … Read more

Cells And Organelles Worksheet

Cell Organelles Worksheet in Cells And Organelles Worksheet

1) How to Use Cells And Organelles Worksheets to Teach Students About Cellular Biology Cells and organelles worksheets are an effective tool for teaching students about cellular biology. These worksheets provide students with an opportunity to practice and demonstrate their understanding of the topics and can be used to further reinforce the concepts being taught. … Read more

Cells Alive Worksheet Answer Key

50 Cells Alive Worksheet Answer Key | Chessmuseum Template Library within Cells Alive Worksheet Answer Key

Exploring the Benefits of Using Cells Alive Worksheet Answer Key for Science Education The use of the Cells Alive Worksheet answer key for science education is an invaluable tool for both educators and students alike. By providing a comprehensive and detailed understanding of the cell structure and its functions, this worksheet can be used to … Read more

Cells Alive Cell Cycle Worksheet

30 Cells Alive Cell Cycle Worksheet | Education Template pertaining to Cells Alive Cell Cycle Worksheet

An Overview of the Cell Cycle: What You Need to Know Before Taking on the Cells Alive Cell Cycle Worksheet The cell cycle is an important process in biology and is the basis for all life on earth. It is a cycle of activities that cells go through in order to reproduce and divide. Understanding … Read more

Cell Transport Worksheet Biology Answers

Cellular Transport And The Cell Cycle Worksheet — Db-Excel with Cell Transport Worksheet Biology Answers

Exploring the Inner Workings of Cell Transport with a Worksheet Biology Answer Key Cell Transport Worksheet – Biology Answer Key 1. What is the role of the cell membrane in cell transport? The cell membrane plays a crucial role in cell transport. It acts as a barrier that separates the inside of the cell from … Read more

Cell Transport Worksheet Answers

Cellular Transport Worksheet Answer Key regarding Cell Transport Worksheet Answers

Exploring the Complexities of Cell Transport: A Guide to Understanding Cell Transport Worksheet Answers Cell transport is a complex phenomenon that involves the movement of molecules across the membrane of a cell. It is essential for life, as it is the process by which cells take in nutrients, expel waste, and regulate the balance of … Read more

Cell Transport Review Worksheet Answers

Cell Transport Worksheet - Google Docs intended for Cell Transport Review Worksheet Answers

Exploring the Role of Cell Transport in Understanding Cell Function: A Review of Cell Transport Worksheets and Answers Cell transport is a fundamental concept in understanding cell function. This process involves the movement of materials into, within, and out of cells, and it plays a vital role in the life of a cell. Cell transport … Read more