Explaining the Benefits of Using Worksheets for Basic Stoichiometry Answer
Worksheets are a great tool for understanding basic stoichiometry answers. This is because they provide an organized, step-by-step process for understanding the problem. The worksheet can be used to identify the chemical equation and the elements involved in the reaction. Once these have been identified, the worksheet can be used to calculate the mass of each element in the reaction and the balanced equation.
Worksheets also help students to organize their thoughts and understand the problem more clearly. Each step is labeled in the worksheet so that the student can easily follow along. This makes it easier for the student to understand the math and to solve the problem. The worksheet also brings clarity to the problem by helping the student to keep track of their calculations.
Using worksheets for basic stoichiometry answers can help students become more proficient in the subject. By providing an organized and step-by-step approach, students can gain an understanding of the problem and its solution more quickly. This can save time and effort and can result in a better grade on tests and exams.
[toc]
Worksheets can also be used to review previous concepts or to help students prepare for upcoming tests or exams. By going through the worksheet, students can identify any mistakes or areas of confusion and can then focus on these areas to improve their understanding of the material.
Overall, worksheets are a great tool for understanding basic stoichiometry answers. They provide an organized and step-by-step approach that can help students gain an understanding of the problem quickly and efficiently. By taking advantage of this tool, students can increase their understanding of the material and improve their grades on tests and exams.
How to Approach Challenging Problems in Basic Stoichiometry Answer Using Worksheets
When faced with a challenging problem in basic stoichiometry, worksheets can be an invaluable tool to help students gain a better understanding of the material. By using worksheets, students can break down a problem into manageable parts that can be solved using the basic concepts of stoichiometry.
The first step in approaching a challenging stoichiometry problem is to thoroughly read the problem. This will ensure that the student has a clear understanding of what the problem is asking. Once the student has read the problem, they can begin to create a worksheet to help them solve the problem. The worksheet should be organized in a way that is easy to follow and that allows the student to clearly see the steps needed to solve the problem.
The worksheet should begin by listing all of the known information and all of the unknowns. This will help the student visualize the problem and gain a better understanding of what needs to be done. Once the student has the relevant information listed, they can begin to create the equations necessary to solve the problem.
When writing the equations, it is important to use the correct symbols and notations. This will ensure that the equations are correct. The student should also use the correct units of measure and make sure that the units on both sides of the equation are the same.
Once the student has written out all of the equations, they can start to solve the problem. The student should go through each equation and solve for the unknowns. As the student solves each equation, they should check their answers to make sure that they are correct.
By using a worksheet, students can approach challenging problems in basic stoichiometry in an organized, systematic way. By breaking the problem down into manageable parts, the student can gain a better understanding of the material and gain the confidence they need to solve more difficult problems.
Creating Your Own Worksheet for Basic Stoichiometry Answer to Improve Understanding
Stoichiometry is an important concept that is used to calculate the amount of a substance that is needed to balance a chemical equation. To help students understand this concept better, the following worksheet has been created to give them practice in solving basic stoichiometry problems.
Instructions:
1. Read the given chemical equation and determine the number of moles of each reactant and product.
2. Calculate the mole ratio of the reactants and products by dividing the number of moles of one substance by the number of moles of the other.
3. Using the given quantities of reactants, calculate the amount of product that should be produced.
4. Determine the mass or volume of the product using the given molar mass or molar volume.
Questions:
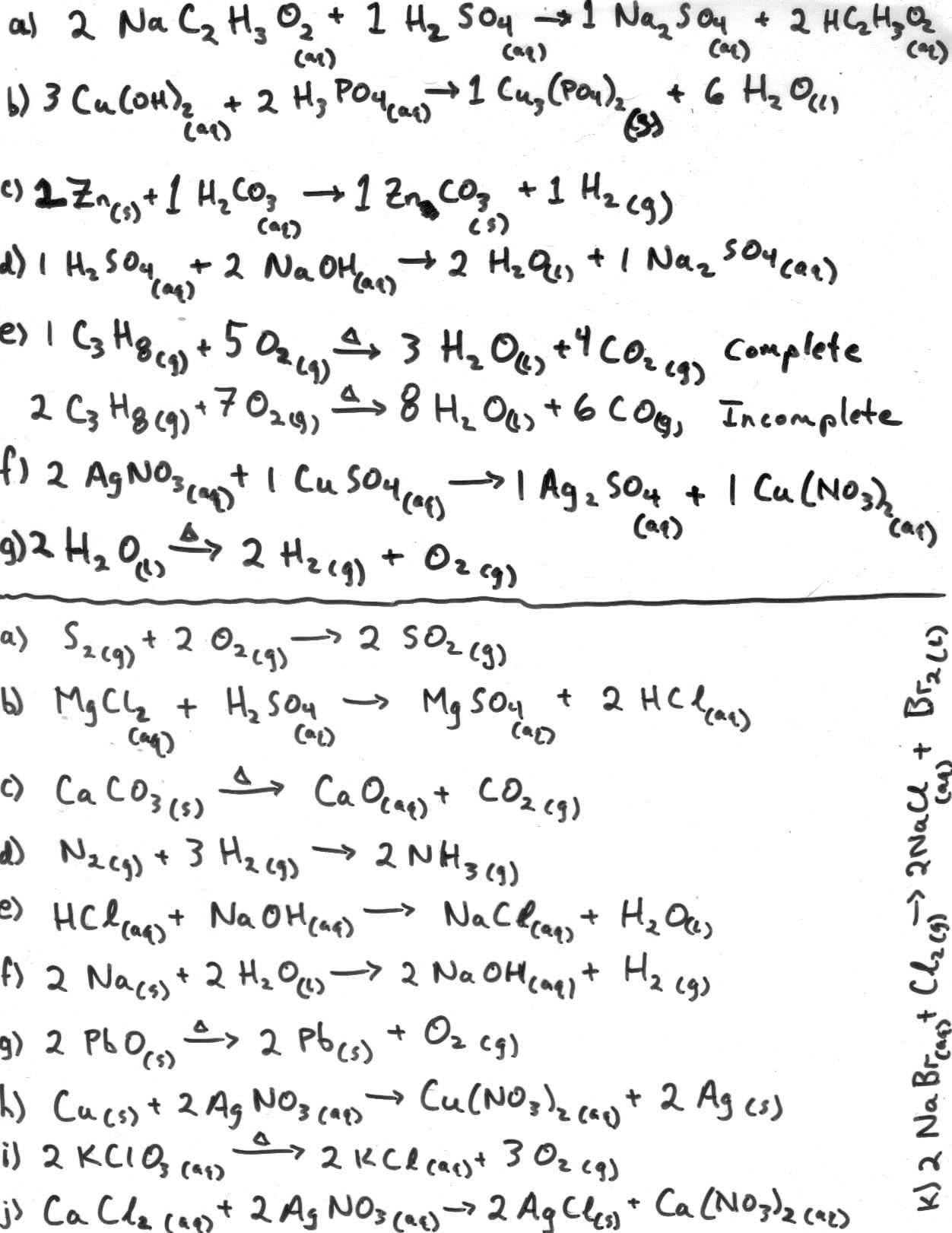
1. What is the chemical equation for the combustion of propane (C3H8)?
2. How many moles of oxygen (O2) are needed to react with 2 moles of propane (C3H8)?
3. What is the mole ratio of oxygen to propane in this equation?
4. If 8 moles of oxygen are used, how many moles of carbon dioxide (CO2) will be produced?
5. How many grams of carbon dioxide will be produced if 8 moles of oxygen are used? (Molar mass of CO2 = 44 g/mol)
Tips for Assessing Your Progress with Worksheets for Basic Stoichiometry Answer
1. Keep a record of your results: Record your answers in a worksheet, and take note of any mistakes you make. This will help you identify any areas of difficulty and make adjustments as needed.
2. Compare your results to the answer key: Compare your answers to the answer key provided with the worksheet, and note any discrepancies. This will help you identify incorrect assumptions or mistakes, and will help you understand the material better.
3. Use a calculator: A calculator can be a helpful tool when completing stoichiometry problems. It can help you convert units, check your answers, and double-check your calculations.
4. Ask for help: If you’re struggling with a particular problem, ask your teacher or a classmate for help. They may be able to point out any mistakes or misconceptions you have about the material.
5. Take notes: Take notes as you complete the worksheet. Writing down the steps you take to complete a problem can help you remember the concepts for future reference.
6. Set a timer: Setting a timer can help you stay on track and ensure that you are completing the worksheet in a timely manner.
7. Review your work: Once the worksheet is complete, review the answers you wrote and the steps you took to get them. This will help you identify any mistakes or misunderstandings and make sure that you have a complete understanding of the material.
Conclusion
The worksheet for basic stoichiometry answers provides a great introduction to the fundamentals of stoichiometry. It can be used to help students understand the basic concepts and equations behind the science, as well as to practice calculations. With practice, students can gain a better understanding of the concepts, allowing them to apply their knowledge to more complex problems. By gaining a better understanding of stoichiometry, students can be better prepared for future chemistry and science courses.
[addtoany]












