Vector Addition Worksheet With Answers

Exploring the Basics of Vector Addition: A Step-by-Step Guide to Working With a Vector Addition Worksheet

Vector addition is a fundamental mathematical concept that is essential for understanding more complex mathematics. In this guide, we will explore the basics of vector addition and provide a step-by-step guide to working with a vector addition worksheet.

Vector Worksheet At Vectorified | Collection Of Vector Worksheet Free For Personal Use Regarding Vector Addition Worksheet With Answers

Vector addition is the process of adding two or more vectors together to form a new vector. A vector is a mathematical representation of a direction and magnitude, often represented by a line segment with an arrowhead. When vectors are added together, the resulting vector is the sum of the individual vectors.

Physics Vectors Worksheet With Answers - Worksheet List Within Vector Addition Worksheet With Answers

To begin working with a vector addition worksheet, first identify the vectors that will be used in the addition problem. Each vector will have an associated magnitude and direction. Once the vectors have been identified, draw them on the worksheet. It is important to draw the vectors such that they point in the same direction, otherwise the addition will not be accurate.

[toc]

Next, calculate the magnitude of each vector. To do this, use the Pythagorean theorem to find the lengths of each side of the triangle formed by the vectors. The magnitudes of the vectors can then be found by multiplying each side by itself and taking the square root.

0 Images Elegant Physics Vector Addition Worksheet Answers With Regard To Vector Addition Worksheet With Answers

Once the magnitudes of the vectors have been calculated, add them together to find the magnitude of the resultant vector. This is done by adding the magnitude of each vector together and finding the square root of the sum.

Finally, calculate the direction of the resultant vector. To do this, use the Law of Cosines to find the angle formed by the vectors. The direction of the resultant vector can then be found by subtracting the angle formed by the vectors from 180°.

Vector Worksheets With Answers At Vectorified | Collection Of Vector Worksheets With Answers With Vector Addition Worksheet With Answers

By following these steps, one can easily work with a vector addition worksheet and understand the basic principles of vector addition. With practice, it is possible to become proficient in vector addition, allowing one to utilize this concept in more advanced mathematics.

Understanding the Components of a Vector Addition Worksheet: Breaking Down the Different Types of Problems

Vector addition worksheets are a useful tool for teaching students the fundamentals of vector mathematics. Understanding the components of a vector addition worksheet can help students better understand the concept and apply it to real-world problems.

Vector Addition Worksheet At Vectorified | Collection Of Vector Addition Worksheet Free For Inside Vector Addition Worksheet With Answers

A vector addition worksheet typically consists of three main components: vector diagrams, equations, and vector addition problems. Vector diagrams are diagrams that represent a vector by a line drawn from the origin to a point, with arrows indicating the direction of the vector. Equations are equations that provide the magnitude and direction of a vector. Finally, vector addition problems are problems that require students to add two or more vectors together.

Vector diagrams are used to indicate the direction and magnitude of each vector. These diagrams are typically drawn on a coordinate plane, with an arrow indicating the direction of the vector. The magnitude of a vector is typically indicated by the length of the arrow.

Equations are equations that use the magnitude and direction of the vector to determine the sum of the two vectors. These equations can be written in a variety of forms, including Cartesian, polar, and parametric form.

Vector addition problems are problems that require students to add two or more vectors together. These problems may involve simple vector addition, or may require more advanced calculations, such as finding the magnitude and direction of the resultant vector.

By breaking down the different components of a vector addition worksheet, students can better understand the concept and apply it to real-world problems. Understanding the components of a vector addition worksheet can help students better understand and apply the concept of vector mathematics.

Tips and Tricks for Mastering Vector Addition Using a Worksheet: Strategies to Help You Excel

Mastering the art of vector addition can be a challenging task, but with the right strategies and techniques, it can be conquered with ease. Here are some tips and tricks to help you excel:

1. Understand the Basics: Before attempting to solve any vector addition problems, it is important to understand the basic concepts and principles. Take the time to learn the definitions and properties of vectors, such as magnitude, direction, and components.

2. Use Visual Aids: Utilizing visual aids can be a great way to understand and solve vector addition problems. Try drawing out the vectors and their components on a worksheet and labeling them accordingly. This will help you visualize the problem and make it easier to solve.

3. Break It Down: Vector addition can be difficult to understand, so breaking down the problem into smaller steps can help. Start with the components of the vectors. Calculate the magnitude and direction of each vector separately, then add the results together. This makes the problem easier to understand and solve.

4. Practice, Practice, Practice: The best way to become proficient at vector addition is to practice. Create a worksheet with a variety of problems and work through them step-by-step. As you practice more, you will become more comfortable and confident with the process.

By following these tips and tricks, you can master vector addition using a worksheet. With a little bit of practice and dedication, you will soon be able to solve vector addition problems with ease.

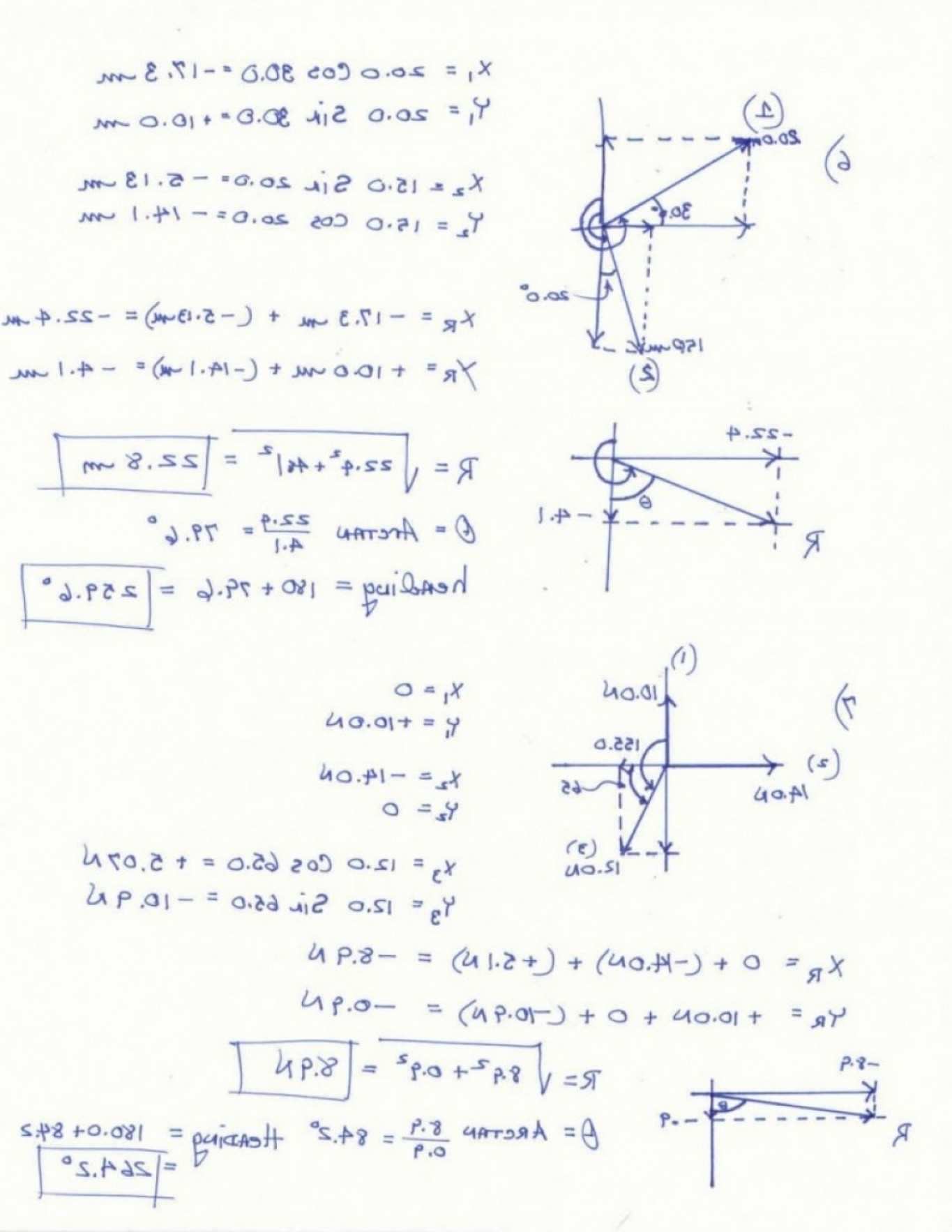
Analyzing Vector Addition in Two Dimensions: Using a Worksheet to Help You Visualize the Process

Conclusion

Vector addition is an important concept in physics and mathematics. It allows us to describe physical phenomena in terms of the addition of multiple vectors. The Vector Addition Worksheet with Answers provides students with practice in adding vectors in various ways and can be used to reinforce the concept. With the help of this worksheet, students can become more confident in their understanding of vector addition and be better prepared to tackle more advanced topics in physics and mathematics.

[addtoany]

5 photos of the "Vector Addition Worksheet With Answers"

Vector Worksheet At Vectorified | Collection Of Vector Worksheet Free For Personal Use Regarding Vector Addition Worksheet With AnswersPhysics Vectors Worksheet With Answers – Worksheet List Within Vector Addition Worksheet With Answers0 Images Elegant Physics Vector Addition Worksheet Answers With Regard To Vector Addition Worksheet With AnswersVector Worksheets With Answers At Vectorified | Collection Of Vector Worksheets With Answers With Vector Addition Worksheet With AnswersVector Addition Worksheet At Vectorified | Collection Of Vector Addition Worksheet Free For Inside Vector Addition Worksheet With Answers

Related posts of "Vector Addition Worksheet With Answers"

Unit 6 Similar Triangles Homework 4 Similar Triangle Proofs Answer Key in Geometric Proofs Worksheet With Answers

Geometric Proofs Worksheet With Answers

Proving Geometric Theorems: A Step-by-Step Guide Using a Geometric Proofs WorksheetGeometric theorems are statements that are used to describe different geometric shapes and structures. Proving these theorems can be challenging, but rewarding. With a geometric proofs worksheet, anyone can prove these theorems step-by-step. The first step in proving a geometric theorem is to read the...

Simplifying Square Roots Kuta in Estimating Square Root Worksheet

Estimating Square Root Worksheet

How to Use an Estimating Square Root Worksheet to Enhance Math SkillsAn estimating square root worksheet is a valuable tool for enhancing math skills. This type of worksheet allows students to practice estimating square roots and can be used in any math class to help students gain a better understanding of the concept. When completing...

Graphing Linear Equations Worksheets With Answer Key in Graphing Linear Functions Worksheet

Graphing Linear Functions Worksheet

Exploring the Benefits of Using a Graphing Linear Functions WorksheetA graphing linear functions worksheet is a useful tool for students of all levels to gain a better understanding of linear equations. Linear equations are equations with two variables that can be graphed on a coordinate plane. Understanding linear equations is essential to furthering a student’s...

Medical Terminology Worksheet - Wordmint intended for Medical Terminology Suffixes Worksheet

Medical Terminology Suffixes Worksheet

Understanding Medical Terminology Suffixes: A Step-by-Step Worksheet GuideMedical terminology is a complex and specialized language used by health care professionals that includes a variety of suffixes. Knowing the various suffixes and their meanings can be a great help in understanding medical terminology. This step-by-step worksheet guide will provide you with the information you need to...