A Step-by-Step Guide to Solving Logarithmic Equations with a Worksheet
Solving logarithmic equations can be a daunting task for many students. A worksheet can help guide them through the process. Here is a step-by-step guide to solving logarithmic equations using a worksheet.
Step 1: Identify the equation that needs to be solved.
Look at the equation and identify the logarithmic term. Make sure to note the base of the logarithm and the argument (what is inside the parentheses).
[toc]
Step 2: Set up the worksheet.
Create a worksheet with columns for the logarithmic terms, the base of the logarithm, and the argument. It is also helpful to create a column for the answer.
Step 3: Separate the equation into two parts.
Separate the equation into a logarithmic term and a non-logarithmic term. Fill in the appropriate columns of the worksheet with the separated terms.
Step 4: Apply the inverse property of logarithms.
In order to solve the equation, the inverse property of logarithms must be applied. This property states that if loga x = y, then x = ay. Rewrite the equation so that the logarithmic term is on one side and the non-logarithmic term is on the other side.
Step 5: Solve the equation.
Using the inverse property of logarithms, solve the equation and fill in the answer column on the worksheet.
Step 6: Check your answer.
Substitute the answer into the original equation and make sure that it yields a true statement. If it does, then the answer is correct.
By following these steps, students can easily solve logarithmic equations using a worksheet. It is an effective tool that can help them understand the properties of logarithms and apply them to solve equations.
Understanding the Different Types of Logarithmic Equations and Their Solutions
Logarithmic equations are mathematical equations that involve one or more logarithms. These equations can be solved using various techniques, depending on the type of equation. In this article, we will discuss the different types of logarithmic equations and how to solve them.
The most common type of logarithmic equation is the exponential equation, which has the form y = bx, where b is a non-zero constant and x is a variable. This equation can be solved by taking the logarithm of both sides. Taking the logarithm of both sides will yield the equation log (y) = log (bx). Then, the equation can be solved by dividing both sides by log (b) to get x = log (y) / log (b).
Another type of logarithmic equation is the logarithmic form, which has the form y = logb (x). This equation can be solved by taking the exponential of both sides. Taking the exponential of both sides will yield the equation y = bx. Then, the equation can be solved by dividing both sides by b to get x = logb (y).
Finally, there are equations that have both logarithms and exponentials. These equations can be solved using the same methods as above, but with a few additional steps. First, the equations must be separated into their logarithmic and exponential forms. Then, each form must be solved individually. After both equations are solved, the results can be combined to get the solution to the original equation.
Logarithmic equations can be challenging to solve, but with a little practice, they can be mastered. Knowing the different types of logarithmic equations and how to solve them can be invaluable to anyone who needs to solve equations involving logarithms.
Tips and Tricks for Mastering Logarithmic Equations Using a Worksheet
Logarithmic equations can be challenging to master, but with the right approach and a good worksheet, mastering them can be a straightforward process. Here are some tips and tricks for mastering logarithmic equations using a worksheet:
1. Start by reviewing basic logarithmic equations and familiarizing yourself with the different logarithmic rules. This will help you understand what needs to be done to solve each type of equation.
2. Before starting your worksheet, set up a system of equations and solve for each variable. This will help you to visualize the process of solving the equation and make it easier to follow.
3. As you work through the worksheet, be sure to check your answers at each step. If you make a mistake, it’s important to go back and fix it, or you could end up with the wrong answer.
4. When you come across questions that require you to use logarithmic identities, make sure you understand what each identity means and how to use it.
5. Be aware of any restrictions that may be imposed on the logarithmic equation. For example, if the problem asks you to solve for a certain value, make sure that you’re working within that range.
By following these tips and tricks, mastering logarithmic equations using a worksheet should become easier. With practice and perseverance, you’ll soon be able to confidently solve logarithmic equations with ease.
Conclusion
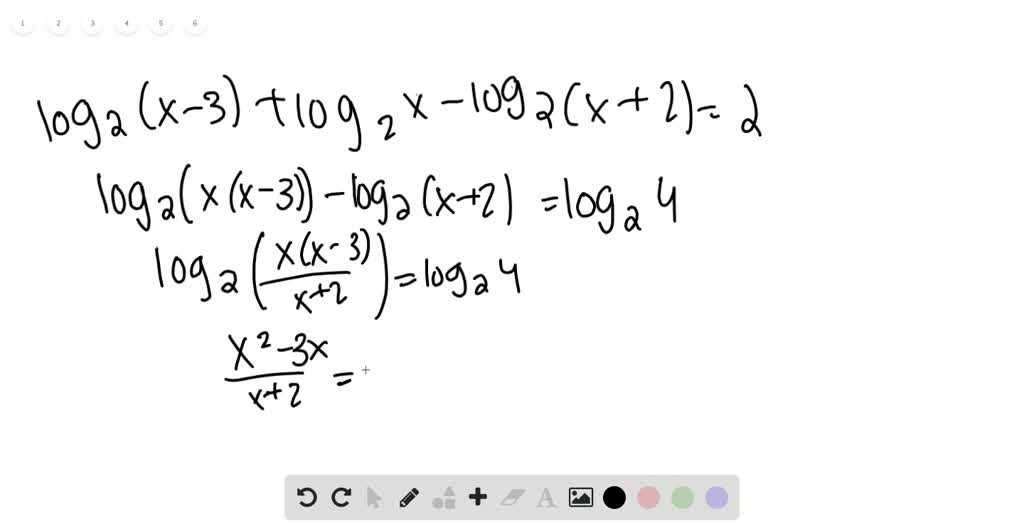
Solving logarithmic equations is a challenging yet rewarding skill. Though it may initially seem overwhelming, with careful practice and patience, it can be mastered. The Solving Logarithmic Equations Worksheet is a great resource to help students gain confidence in their logarithmic equation solving skills. With its clear instructions and practice problems, the worksheet provides an excellent foundation for mastering logarithmic equations.
[addtoany]












