Solving Equations By Factoring Worksheet

Explaining the Basics of Solving Equations By Factoring Worksheets

Factoring is a mathematical technique used to simplify algebraic expressions by breaking them down into their component parts, or factors. It is an important skill to master, as it can be used to solve equations, simplify fractions, and solve systems of equations.

46 Solve Quadratics By Factoring Worksheet | Chessmuseum Template Library Throughout Solving Equations By Factoring Worksheet

Factoring worksheets are a great tool to help students become more proficient in factoring. A typical factoring worksheet will include an equation with a variable and a set of instructions for solving the equation by factoring. The worksheet will provide step-by-step instructions on how to factor the equation, and it may include some helpful visuals and diagrams.

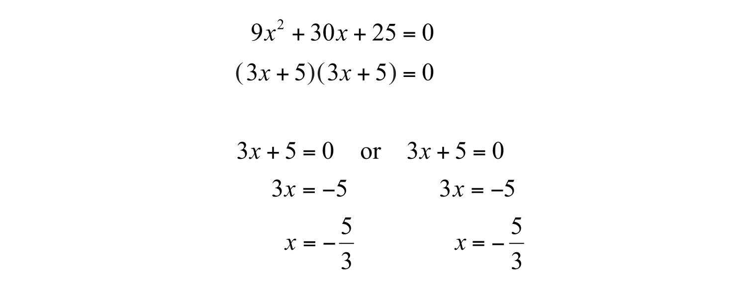
Algebra 2 Solving Quadratic Equations By Factoring Worksheet Answers Intended For Solving Equations By Factoring Worksheet

When factoring equations, it is important to remember that the goal is to break the equation down into its component parts. To do this, you must identify the highest common factor (HCF) of the terms in the equation. This is the greatest number that can evenly divide all the terms in the equation. Once the HCF has been determined, it can be factored out of the equation, leaving the remaining factors.

[toc]

There are several methods for factoring equations, including the quadratic formula, the difference of two squares, and the sum and product of two cubes. Each method has its advantages and disadvantages, so it is important to become familiar with each one before attempting to factor an equation.

Solving Quadratics By Factoring Worksheet — Db Excel Inside Solving Equations By Factoring Worksheet

Factoring worksheets are a useful tool for students who are just beginning to learn how to factor equations. They provide an opportunity to practice and improve their skills without the pressure of a timed test. By practicing on worksheets, students can become more comfortable with the different methods of factoring, and eventually be able to apply them to more complex equations.

Analyzing the Benefits of Using Solving Equations By Factoring Worksheets

Solving equations by factoring worksheets can be an invaluable educational tool for mathematics students. These simple yet effective worksheets provide a comprehensive introduction to the process of factoring equations and offer a variety of benefits to students of all ages and levels of mathematics proficiency.

35 Solve Quadratic Equations By Factoring Worksheet - Notutahituq With Regard To Solving Equations By Factoring Worksheet

Factoring equations can be a daunting task for some, so having a worksheet to guide them through the process helps to reduce confusion and anxiety. By providing students with the necessary steps to factor an equation, these worksheets can help to ensure that students understand the concept. Additionally, students can use the worksheet to practice their factoring skills and become more proficient in the process.

Using solving equations by factoring worksheets can also make the learning process more efficient. With the help of the worksheet, students can work through each step of the factoring process with confidence and clarity. This can help to keep students from getting overwhelmed or off-track, as they can simply refer to the worksheet for guidance. Moreover, the worksheets can save teachers time by providing a comprehensive overview of the concept and allowing them to focus on more difficult problems.

30 Solving Equations By Factoring Worksheet | Education Template Intended For Solving Equations By Factoring Worksheet

Finally, solving equations by factoring worksheets can be beneficial to students in a variety of settings. From the traditional classroom to the virtual learning environment, these worksheets can help students to become better equipped to tackle factoring equations. With the help of these worksheets, students can develop a better understanding of the concept and become more successful in their mathematics classes.

In conclusion, solving equations by factoring worksheets provide a variety of benefits to students of all ages and levels of mathematics proficiency. From helping students to understand the concept of factoring equations to providing them with an efficient and effective way to practice their skills, these worksheets can make the learning process more effective and efficient. With the help of these worksheets, students can develop a better understanding of the concept and become more confident in their mathematics classes.

Examining the Common Mistakes Students Make When Solving Equations By Factoring Worksheets

When solving equations by factoring worksheets, students often make common mistakes that can lead to incorrect answers. One of the most frequent mistakes is not factoring out all common factors before attempting to solve the equation. This often leads to the wrong answer, as the student may mistakenly think that the two expressions are unrelated. Another common mistake is not recognizing that the equation may have multiple solutions. In order to solve such equations, the student must factor out all common factors, and then check to see if both sides of the equation are equal to the same quantity.

Another common mistake is not recognizing that some equations may have more than one solution. If the student is not able to identify the different solutions, they may not be able to make sense of the equations. Additionally, some equations may require the student to use trial and error methods to find a solution. In these cases, it is important that the student is aware of the different possibilities and is able to recognize when a trial and error approach is necessary.

Finally, students may also make errors when attempting to combine like terms. In order to solve the equation correctly, the student must understand the rules of combining like terms. If the student is not careful, they may mistakenly combine terms that are not actually the same. This can lead to incorrect answers and a poor understanding of the problem.

By understanding these common mistakes, students are better able to identify and correct any issues they may encounter when solving equations by factoring worksheets. By avoiding these mistakes, students can ensure that they will be able to accurately solve equations and gain a better understanding of the material.

Conclusion

Solving equations by factoring worksheet is a great way to help students become familiar with the process of factoring equations. It can help them practice and understand the concepts of factoring and how to apply them in real-world problems. By using this worksheet, students can learn how to solve equations quickly and efficiently. Furthermore, this worksheet can be used to review basic concepts and also to introduce new concepts. With practice and time, students will become more confident in their ability to factor equations.

[addtoany]

5 photos of the "Solving Equations By Factoring Worksheet"

46 Solve Quadratics By Factoring Worksheet | Chessmuseum Template Library Throughout Solving Equations By Factoring WorksheetAlgebra 2 Solving Quadratic Equations By Factoring Worksheet Answers Intended For Solving Equations By Factoring WorksheetSolving Quadratics By Factoring Worksheet — Db Excel Inside Solving Equations By Factoring Worksheet35 Solve Quadratic Equations By Factoring Worksheet – Notutahituq With Regard To Solving Equations By Factoring Worksheet30 Solving Equations By Factoring Worksheet | Education Template Intended For Solving Equations By Factoring Worksheet

Related posts of "Solving Equations By Factoring Worksheet"

Exponential Function Word Problems Worksheet throughout Exponential Function Word Problems Worksheet

Exponential Function Word Problems Worksheet

Exploring the Benefits of Using an Exponential Function Word Problems WorksheetThe exponential function word problems worksheet is a valuable teaching tool that can help students understand the concept of exponential functions in a meaningful way. By providing real-world examples and problems, the worksheet can help students understand the exponential function in a practical context and...

Valence Electrons Worksheet Answers pertaining to Valence Electrons Worksheet Answers

Valence Electrons Worksheet Answers

Exploring Valence Electrons in Chemistry: A Comprehensive Guide to Using a Valence Electrons Worksheet and AnswersValence electrons play a critical role in chemistry, and understanding them is essential for accurately predicting the behavior of various elements. A valence electrons worksheet is a useful tool for helping students understand the relationship between the number of valence...

30 The Most Dangerous Game Worksheet | Education Template regarding The Most Dangerous Game Worksheet

The Most Dangerous Game Worksheet

How to Use The Most Dangerous Game Worksheet to Engage Your Students in ReadingThe Most Dangerous Game worksheet is a great tool for engaging students in reading and writing. It allows them to explore the story’s characters, setting, and plot, as well as practice their writing skills in a fun and creative way. To get...

Right Triangle Trigonometry Worksheet throughout Right Triangle Trigonometry Worksheet Answers

Right Triangle Trigonometry Worksheet Answers

Uncovering the Secrets of Right Triangle Trigonometry Worksheet Answers The right triangle is one of the most iconic shapes in mathematics and a source of great fascination. It has been used to solve problems and to create beautiful works of art for centuries. Its sides and angles can be manipulated in a variety of ways,...