Rationalizing The Denominator Worksheet

How Rationalizing the Denominator Worksheet Can Help Students Master Fractions

Rationalizing the denominator is an important step in mastering fractions. A rationalizing the denominator worksheet can help students understand the process and practice it in a structured environment.

Quiz Worksheet Rationalizing Denominators In Radical — Db Excel Regarding Rationalizing The Denominator Worksheet

The worksheet begins by introducing the concept of rationalizing the denominator. It provides students with an explanation of what rationalizing is, how it is used, and why it is important. Then, it provides examples of rationalizing the denominator in various forms. This helps students to practice the concept in a variety of forms.

50 Rationalizing The Denominator Worksheet | Chessmuseum Template Library In Rationalizing The Denominator Worksheet

The worksheet then provides students with practice problems that involve rationalizing the denominator. These problems vary in difficulty and complexity, allowing students to progress at their own pace. The worksheet also encourages students to think critically about the process and how it is used in various mathematical operations.

[toc]

By providing students with a rationalizing the denominator worksheet, they are able to better understand the concept and practice it in a structured environment. This helps them to develop critical thinking skills and to build a foundation of knowledge that they can use to understand even more complex fractions. With practice, students can become experienced in rationalizing the denominator and be able to apply it to a variety of mathematical operations.

30 Rationalizing The Denominator Worksheet | Education Template In Rationalizing The Denominator Worksheet

Exploring the Challenges of Rationalizing the Denominator: A Step-by-Step Guide

Rationalizing the denominator is a common task in algebra and calculus that requires students to manipulate fractions so the denominator is not a fraction. This process consists of several steps, each of which requires a basic understanding of algebra and the ability to identify and manipulate terms. This guide will provide a step-by-step approach to rationalizing the denominator.

Step 1: Identify the Denominator – The first step in rationalizing the denominator is to identify which term is the denominator. This is the term that will be manipulated in the following steps.

30 Rationalizing The Denominator Worksheet | Education Template Intended For Rationalizing The Denominator Worksheet

Step 2: Identify the Numerator – Once the denominator has been identified, the numerator must be located and identified. This is the term that will remain unchanged throughout the process.

Step 3: Identify Any Terms in the Denominator – Next, any terms in the denominator must be identified. These terms will be manipulated in the following steps.

50 Rationalizing The Denominator Worksheet | Chessmuseum Template Library With Regard To Rationalizing The Denominator Worksheet

Step 4: Multiply Both Sides by the Denominator – Now, both sides of the fraction must be multiplied by the denominator. This is done to eliminate any fractions in the denominator and ensure that the denominator is a single term.

Step 5: Simplify the Expression – After multiplying both sides by the denominator, the resulting expression should be simplified. This step involves combining like terms and simplifying any other expressions.

Step 6: Check the Denominator – The final step is to verify that the denominator is no longer a fraction. If it is, the process must be repeated from step 3.

Rationalizing the denominator is a necessary step in many algebra and calculus problems. Following the steps outlined above can help ensure that the process is performed efficiently and correctly.

The Benefits of Using a Rationalizing the Denominator Worksheet in the Classroom

Using a rationalizing the denominator worksheet in the classroom can be extremely beneficial for students of all levels of mathematical proficiency. Rationalizing the denominator is a concept that is essential for students to understand in order to master algebra and higher-level mathematics. The worksheet provides students with an opportunity to practice this concept in a structured and organized way, allowing them to see the application of the concept as well as reinforce their understanding of it.

The worksheet is broken down into several steps, which can be completed either in class or as homework. The first step is to identify the base, which is the denominator of the expression that needs to be rationalized. The student must then identify and eliminate any radicals in the denominator by factoring. After this, the student must multiply the numerator of the expression by the denominator, and then simplify the resulting expression.

The worksheet also allows students to practice their problem-solving and analytical skills. By completing the worksheet, students can practice their ability to identify and solve problems involving rationalizing the denominator. They will be able to practice their ability to think logically and solve problems quickly and efficiently.

The worksheet also provides students with an opportunity to practice their skills in a more visual way. By completing the worksheet, students can practice their ability to visualize and solve problems involving the rationalizing of the denominator. This visual approach allows them to better understand the concept and apply it to a variety of different problems.

Finally, the worksheet offers an opportunity for students to practice their skills in a fun and engaging way. By working through the problem on the worksheet, students can practice their skills in a more informal way. This approach can help to keep students engaged and motivated, as they will be able to apply their newfound skills in a more interactive way.

Overall, using a rationalizing the denominator worksheet in the classroom can be extremely beneficial for students of all levels of mathematical proficiency. The worksheet provides students with an opportunity to practice their problem-solving and analytical skills, as well as their ability to visualize and apply the concept. Additionally, it offers an opportunity to practice their skills in a fun and engaging way. By using this worksheet in the classroom, students can gain a better understanding of the concepts of rationalizing the denominator and improve their overall mathematical skills.

Using a Rationalizing the Denominator Worksheet to Reinforce Algebraic Concepts

Rationalizing the denominator is a useful technique in algebra that is used to simplify fractions with a radical in the denominator. A rationalizing the denominator worksheet is a great way to reinforce this concept and help students gain a better understanding of how to manipulate fractions with radicals.

When using a rationalizing the denominator worksheet, it is important to first review the concept with the students. Instructors can provide a brief overview of the process and explain why it is important to rationalize the denominator in order to simplify fractions. Once the concept is explained, it can then be reinforced with practice problems on the worksheet.

The worksheet should contain several examples of fractions with radicals in the denominator, as well as blank spaces for students to practice rationalizing the denominator. The instructor should also provide a step-by-step guide for rationalizing the denominator, which can be used as a reference for students as they work through the problems.

As students work through the problems on the worksheet, the instructor should be available to answer any questions and provide guidance. This will help students gain a better understanding of the concept and become more confident in their ability to rationalize denominators.

Rationalizing the denominator is an important skill in algebra, and a rationalizing the denominator worksheet is a great tool for reinforcing this concept. With practice and guidance, students can gain a better understanding of this technique and become more confident in their ability to rationalize the denominator of fractions with radicals.

Developing Problem-Solving Skills with a Rationalizing the Denominator Worksheet

Rationalizing the denominator is an important skill for students to learn in order to understand algebraic equations and fractions. To help students develop this skill, a rationalizing the denominator worksheet can be very helpful.

The worksheet starts by providing students with an introduction to the concept and a few simple examples. The examples demonstrate how to use the process of rationalizing the denominator to simplify fractions with complex denominators. This helps students understand the concept and provides a starting point for their own practice.

Once students understand the concept, the worksheet then provides them with a number of problems to practice on. These problems range in difficulty from simple to more complex. Each problem gives students the opportunity to practice rationalizing the denominator in a variety of ways.

The worksheet also includes questions that allow students to check their understanding. These questions can help students to identify any areas of confusion and provide a way for them to test their understanding of the concept.

In addition, the worksheet can be used as a review tool. It can be used to help students review the material they have learned in the past and to provide a reminder to them of the concepts they need to practice.

Overall, a rationalizing the denominator worksheet is a great tool for helping students to develop their problem-solving skills. It provides a clear introduction to the concept and provides plenty of practice for students to work on in order to master it. In addition, it provides a way for students to check their understanding of the concept and to review material they have previously learned.

Strengthening Math Skills with the Rationalizing the Denominator Worksheet

The Rationalizing the Denominator worksheet is a powerful tool for students to develop and strengthen their math skills. This worksheet helps students understand the process of rationalizing the denominator of a fraction, which is an essential concept in algebra. Rationalizing a denominator involves simplifying an expression by converting a radical expression to a rational expression.

This worksheet starts with an explanation of how to rationalize the denominator of a fraction. It then provides examples and practice problems to help students gain a better understanding of the concept. The worksheet also includes a number of challenging questions that require students to use their problem-solving, critical thinking, and analytical skills.

The Rationalizing the Denominator worksheet is an invaluable resource for students who are struggling with this concept. This worksheet can help students solidify their understanding of the concept and develop their math skills. By solving the various problems on the worksheet, students can improve their understanding of rationalizing denominators and gain confidence in their ability to solve algebraic equations.

The Rationalizing the Denominator worksheet is an effective tool for helping students master this important concept. By providing an explanation of the concept, examples, and practice problems, this worksheet can help students understand and apply the rationalizing denominator concept. This worksheet is an essential resource for students who want to strengthen their math skills and gain confidence in their ability to solve algebraic equations.

Understanding Algebraic Concepts through Rationalizing the Denominator Worksheet

Rationalizing the denominator is a key algebraic concept that is essential for developing a deeper understanding of algebraic equations and expressions. This worksheet is designed to help students learn the techniques for rationalizing a denominator and gain a better understanding of the related concepts.

The worksheet begins with a brief introduction to the concept of rationalizing the denominator and explains the underlying mathematical principles. After this, the worksheet provides a series of examples and exercises that can help the student become familiar with rationalizing the denominator. Each exercise explains the steps and techniques that are needed to rationalize the denominator. The worksheet also contains a few practice problems so that students can test their understanding of the process.

The worksheet then provides a summary of the key steps and concepts related to rationalizing the denominator. This section also provides tips and suggestions on how to best approach the problem. Finally, the worksheet provides a few additional examples and practice problems so that students can review their understanding of rationalizing the denominator.

This worksheet is an excellent resource for students who are looking to gain a deeper understanding of algebraic concepts. By understanding the steps and techniques for rationalizing the denominator, students can better understand the related concepts of equations and expressions. This worksheet is ideal for students of all levels, from elementary school to college, and can help them improve their algebraic skills.

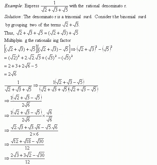
Examining Strategies for Rationalizing the Denominator: A Case Study

This case study will explore strategies for rationalizing a denominator, which involves the process of simplifying fractions that have radicals in the denominator. A radical is a root of a number, such as a square root or cube root. In order to better understand the purpose of rationalizing a denominator and the various strategies used to accomplish this task, an example will be used to illustrate the concept.

The example provided is the fraction \(\frac{3}{\sqrt{5}}\). In order to rationalize the denominator of this fraction, the following steps must be taken. First, the denominator must be multiplied by itself. This results in 5 being multiplied by \(\sqrt{5}\), which equals 5. This can be written as \(\frac{3}{\sqrt{5}} \times \frac{\sqrt{5}}{\sqrt{5}} = \frac{3 \times \sqrt{5}}{5}\). This simplifies the fraction to \(\frac{3 \times \sqrt{5}}{5}\) and rationalizes the denominator.

In addition to the example provided, there are several other strategies that can be used to rationalize a denominator. One such strategy is to factor the denominator into simpler terms. For example, if the denominator is \(\sqrt{5} – \sqrt{3}\), it can be factored as \((\sqrt{5} + \sqrt{3}) \times (\sqrt{5} – \sqrt{3})\). This simplifies the denominator to the product of two radicals that can be multiplied together to yield a rational denominator.

Another strategy for rationalizing a denominator is to use a conjugate. A conjugate is a pair of radicals that are the same except for a negative sign between them. The conjugate of \(\sqrt{5}\) is \(- \sqrt{5}\). To use this strategy, the denominator must be multiplied by its conjugate. In the example \(\frac{3}{\sqrt{5}}\), the denominator would be multiplied by its conjugate, resulting in \(\frac{3}{\sqrt{5}} \times \frac{-\sqrt{5}}{-\sqrt{5}} = \frac{3 \times -\sqrt{5}}{-5}\). This simplifies the fraction to \(\frac{3 \times -\sqrt{5}}{-5}\) and rationalizes the denominator.

Finally, there are strategies that involve adding or subtracting fractions that have the same denominator. This involves multiplying the numerator of one fraction by the denominator of the other fraction, and then adding or subtracting the resulting fractions. For example, if two fractions have the denominator \(\sqrt{5}\), then multiplying the numerator of one fraction by the denominator of the other fraction will result in two fractions with a common denominator. These fractions can then be added or subtracted to simplify the fraction and rationalize the denominator.

In conclusion, there are several different strategies that can be used to rationalize a denominator. The example provided is a good starting point for understanding the concept of rationalizing a denominator and the various strategies that can be used

Teaching Advanced Fractions with a Rationalizing the Denominator Worksheet

Rationalizing the denominator is an important concept for students to understand when dealing with advanced fractions. This worksheet provides a comprehensive review of the procedure for rationalizing denominators and gives students the opportunity to practice and reinforce understanding of the concept.

The worksheet begins with a brief introduction to the concept. It defines the terms numerator and denominator, as well as the process of rationalizing the denominator. This provides students with a foundational understanding that will enable them to progress to the more complex activities.

The worksheet then walks students through a series of practice problems. Each problem provides a fraction with an irrational denominator and asks students to rationalize the denominator. The questions gradually increase complexity, beginning with fractions that include simple radicals and progressing to fractions with complex radicals.

The final section of the worksheet provides a challenge problem. This problem requires students to simplify a complex rationalized denominator. This encourages students to apply their understanding of the concept and think critically about the most efficient way to solve the problem.

This worksheet is a valuable tool for teaching advanced fractions and rationalizing denominators. It allows students to build a strong foundation of understanding and gain practice with the concept.

Utilizing the Rationalizing the Denominator Worksheet to Build Math Proficiency

The Rationalizing the Denominator worksheet is an invaluable resource for educators to help their students build math proficiency. This worksheet provides a comprehensive approach to help students learn to rationalize the denominator of a fraction.

It begins by introducing the concept and providing a step-by-step approach to help students understand the process. The worksheet features a variety of examples to illustrate the concept, helping students to understand how the process works. The examples are carefully designed to be simple enough for students to follow and understand, while being challenging enough to help them progress.

The Rationalizing the Denominator worksheet also includes practice problems for students to complete. The problems are designed to build on the concepts introduced in the examples, allowing students to further their understanding of the process. The worksheet also helps to reinforce key concepts, such as the distributive property, in a practical manner.

Overall, the Rationalizing the Denominator worksheet is an essential tool for educators to help their students develop math proficiency. It provides a comprehensive approach, featuring carefully designed examples and practice problems, that help students understand the concept of rationalizing the denominator of a fraction. Through this worksheet, students can gain a better understanding of the process and apply it to further their math skills.

Conclusion

Rationalizing the denominator is an important skill for students to learn in mathematics. This worksheet has provided a great opportunity for students to practice this skill. Through this worksheet, students have been able to apply their knowledge of algebraic fractions and simplify rational expressions. Additionally, they have had the chance to practice their skills in manipulating fractions and simplifying radicals. With practice and perseverance, students will become confident and proficient in this area of mathematics.

[addtoany]

5 photos of the "Rationalizing The Denominator Worksheet"

Quiz Worksheet Rationalizing Denominators In Radical — Db Excel Regarding Rationalizing The Denominator Worksheet50 Rationalizing The Denominator Worksheet | Chessmuseum Template Library In Rationalizing The Denominator Worksheet30 Rationalizing The Denominator Worksheet | Education Template In Rationalizing The Denominator Worksheet30 Rationalizing The Denominator Worksheet | Education Template Intended For Rationalizing The Denominator Worksheet50 Rationalizing The Denominator Worksheet | Chessmuseum Template Library With Regard To Rationalizing The Denominator Worksheet

Related posts of "Rationalizing The Denominator Worksheet"

Map Reading Activity: Topography Printout - Enchantedlearning inside Topographic Map Reading Worksheet

Topographic Map Reading Worksheet

How to Use a Topographic Map Reading Worksheet to Improve Your Navigation SkillsNavigation is an essential skill for anyone who enjoys challenging outdoor activities such as hiking, skiing, and camping. Being able to accurately read a topographic map is a key part of successful navigation. A topographic map reading worksheet can help you improve your...

30 Waves Worksheet Answer Key | Education Template regarding Wave Review Worksheet Answer Key

Wave Review Worksheet Answer Key

Exploring the Benefits of Using a Wave Review Worksheet Answer Key for Education A wave review worksheet answer key is an invaluable tool for educators, as it can help streamline the review process and make it easier for students to understand the material. This type of answer key can be used in many different educational...

Two Step Equations Worksheet Pdf | Education Template inside Two Step Equations Worksheet

Two Step Equations Worksheet

Step-by-Step Guide to Solving Two Step Equations Worksheet 1. Read the equation carefully. In order to solve two step equations, it is important to read the equation carefully and break it down into its individual parts. A two step equation consists of two equations separated by an equals sign. In order to solve the equation,...

50 Pythagorean Theorem Worksheet Answers | Chessmuseum Template Library inside Pythagorean Theorem Worksheet Answers

Pythagorean Theorem Worksheet Answers

How to Use Pythagorean Theorem Worksheet Answers to Develop Math SkillsThe Pythagorean Theorem is a fundamental tool in mathematical education. It is used to calculate the lengths of the sides of a right triangle when the length of one side and the measure of the right angle are known. By using a Pythagorean Theorem worksheet,...