Exploring the Different Solutions of a Rational Expressions Worksheet and How to Analyze the Answers.
Rational expressions are algebraic fractions that contain variables in their denominators. Solving rational expressions worksheets are a great way for students to practice and gain a better understanding of this type of expression. In a rational expression worksheet, students are given a rational expression and asked to solve it.
To solve a rational expression, it is important to understand the order of operations. First, any exponents should be evaluated. Then, any multiplication and division should be done from left to right. Finally, addition and subtraction should be done from left to right. Once these steps have been completed, the resulting expression should be simplified and the answer should be written in its simplest form.
When analyzing the answers to a rational expressions worksheet, it is important to first check that the answer is in its simplest form. If it is not, students should be able to trace their steps backwards to see where simplification was missed. It is also important to double check the answer by plugging it back into the rational expression and confirming that the answer is correct.
[toc]
Finally, when analyzing the answers to a rational expressions worksheet, it is important to pay attention to the number of solutions. If the rational expression has no solutions, then the student should be able to explain why the answer is undefined. If the rational expression has one solution, then the student should be able to explain why the answer is a single number. If the rational expression has multiple solutions, then the student should be able to explain why the answer is a set of numbers.
By using a rational expressions worksheet, students can gain a better understanding of this type of expression and learn how to analyze and solve them. Understanding the order of operations and the importance of simplifying the answer is key to success. With practice and careful attention to detail, students can gain a better understanding of rational expressions and their solutions.
Breaking Down the Steps to Solving Rational Expressions Worksheet Questions.
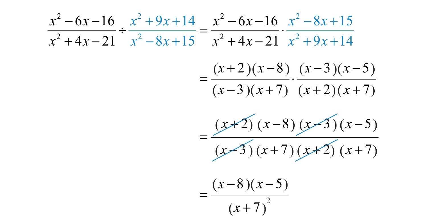
Solving Rational Expressions worksheet questions can be a daunting task, but by breaking down the problem into smaller steps, the process can be simplified. The first step to solving a rational expression is to factor the numerator and denominator. This involves finding common factors that can be divided out from each term, and then breaking the terms into their prime factors. Once the factors have been determined, the greatest common factor of the numerator and denominator can be identified.
The next step is to divide both the numerator and denominator by the greatest common factor. This simplifies the expression and eliminates any fractions. Finally, the last step is to combine like terms in the numerator and denominator. This can be done by multiplying the numerator and denominator together, and then simplifying the resulting expression.
By breaking down the problem into smaller steps, the process of solving rational expressions can be made much simpler. It is important to remember that each step must be completed in order to get an accurate solution.
Tips for Understanding the Different Types of Rational Expressions and How to Apply Them to Worksheet Problems.
Rational expressions are algebraic fractions that consist of a numerator and denominator. They are often used to represent functions, as well as relationships between two variables. When working with rational expressions, it is important to understand the different types and how to apply them to worksheet problems.
First, it is important to understand the different types of rational expressions. A simple rational expression consists of one fraction with a numerator and denominator. A complex rational expression consists of multiple fractions, with each fraction having its own numerator and denominator. In addition, there can be terms, such as constants, on both the numerator and denominator of the expression.
Once the different types of rational expressions are understood, they can be applied to worksheet problems. For example, if a problem involves simplifying a rational expression, it is important to identify the type of expression. If it is a simple rational expression, it can be simplified by canceling out any common factors in the numerator and denominator. If it is a complex rational expression, it can be simplified by combining like terms in the numerator and denominator.
In addition, rational expressions can be used to solve equations. To do this, the equation must be converted into a rational expression. This can be done by identifying the terms in the equation and putting them in the form of a fraction. Once the equation is in the form of a rational expression, it can be solved by factoring, canceling out common factors, or using other algebraic techniques.
By understanding the different types of rational expressions and how to apply them to worksheet problems, students can more easily solve equations and simplify rational expressions. With practice, these skills will become second nature and students will be able to confidently approach any rational expression problem.
Demystifying the Simplification of Rational Expressions: How to Find the Correct Answer on a Worksheet.
Simplifying rational expressions can be a daunting task for many students. In order to ensure the correct answer is found on a worksheet, it is important to understand the process of simplifying a rational expression.
The first step is to determine the greatest common factor (GCF) of the numerator and denominator. This can be done by factoring out common terms in the numerator and denominator. Once the GCF is determined, divide both the numerator and denominator by it so that the GCF is cancelled out.
The next step is to look for any factors that are common between the numerator and the denominator. Any common factors between the numerator and denominator can be cancelled out.
The final step to simplifying a rational expression is to reduce any fractions that remain in the numerator and denominator. This can be done by determining the greatest common factor of the numerator and denominator of the fractions, and then dividing both the numerator and denominator of the fraction by this common factor.
By following these steps, one can ensure that the correct answer is found on a worksheet when simplifying rational expressions. In order to do this, it is important to pay close attention to each step of the process and to check the work once it is completed. By taking the time to fully understand and implement this process, one can be confident that the correct answer is found when simplifying expressions.
Using Algebraic Techniques to Solve Complex Rational Expressions Worksheet Questions.
When working with complex rational expressions, algebraic techniques can be used to help simplify the expression and find its value. A complex rational expression is a fraction with polynomials in both the numerator and denominator. To solve these expressions, the following steps should be taken:
1. Examine the expression and determine if there are any common factors between the numerator and denominator. If so, factor them out using polynomial division.
2. Check for any potential zeroes in the denominator. If there are, rewrite the expression as two separate fractions and solve each one separately.
3. Use polynomial long division to divide the numerator by the denominator. This will give a simplified version of the expression.
4. Simplify further, if possible, by combining like terms or factoring out common factors.
5. Substitute in the values of the variables. This will provide the answer to the expression.
Using these techniques can make solving complex rational expressions much easier. By breaking the expression down into smaller parts, the complexity of the problem can be reduced, leading to a simpler solution.
Analyzing the Different Forms of Rational Expressions and How They Affect Answers on a Worksheet.
Rational expressions are a type of algebraic expression that contain fractions and can be used to solve equations. In general, rational expressions are composed of two parts: the numerator, which is the top portion of the fraction, and the denominator, which is the bottom portion of the fraction. These two components can be made up of constants, variables, and/or exponents.
The form of a rational expression affects the answer that is obtained when the expression is evaluated on a worksheet. Different forms of rational expressions can lead to different answers, depending on how the expression is written. For example, if the numerator and denominator of a rational expression are both divided by a certain number, the answer obtained from evaluating the expression will be different than if the numerator and denominator were not divided.
The form of a rational expression can also affect the answer if the expression contains a variable. If the variable is raised to an exponent, the answer obtained from evaluating the expression will be different than if the exponent is not present. Similarly, if the numerator and/or denominator of the expression contain parentheses, the answer will be different than if the parentheses were not present.
Overall, the form of a rational expression can have a significant impact on the answer that is obtained when it is evaluated on a worksheet. When working with rational expressions, it is important to pay attention to the form of the expression in order to ensure that the correct answer is obtained.
Working Through the Steps of Factoring Rational Expressions: An In-Depth Guide to Solving Worksheet Problems.
Factoring rational expressions is a necessary skill for anyone who needs to solve worksheet problems. It can be a challenge, but with careful attention and a few steps, anyone can learn to factor these expressions effectively.
The first step is to identify the polynomial expression. This is the expression that is going to be factored. This expression can be a single variable, multiple variables, or even a combination of multiple variables. Once the expression has been identified, the next step is to determine the greatest common factor (GCF). The GCF is the highest number that divides evenly into all of the terms of the expression.
Once the GCF has been identified, the next step is to factor the expression. The first part of this involves finding the factors of each term in the expression and grouping them together. For example, if the expression is x^2+4x+4, the factors of the first term, x^2, are x and x, and the factors of the second and third terms are 4 and 1. The factors of the expression can then be grouped together as (x+2)(x+2).
Once the expression has been factored, the next step is to simplify the expression. This can be done by combining like terms, dividing each term by the GCF, or combining all of the terms into a single fraction. The goal of this step is to reduce the size of the expression, making it easier to understand and solve.
Finally, the last step is to solve the equation. This involves using the factors found in the previous steps to solve for the unknown quantity or quantities. For example, if the expression is (x+2)(x+2), the solution can be found by setting each factor equal to zero and solving for x. This will give us the solution x=-2.
By following these steps, anyone can learn to factor rational expressions and solve worksheet problems. With practice, it will become easier and more efficient.
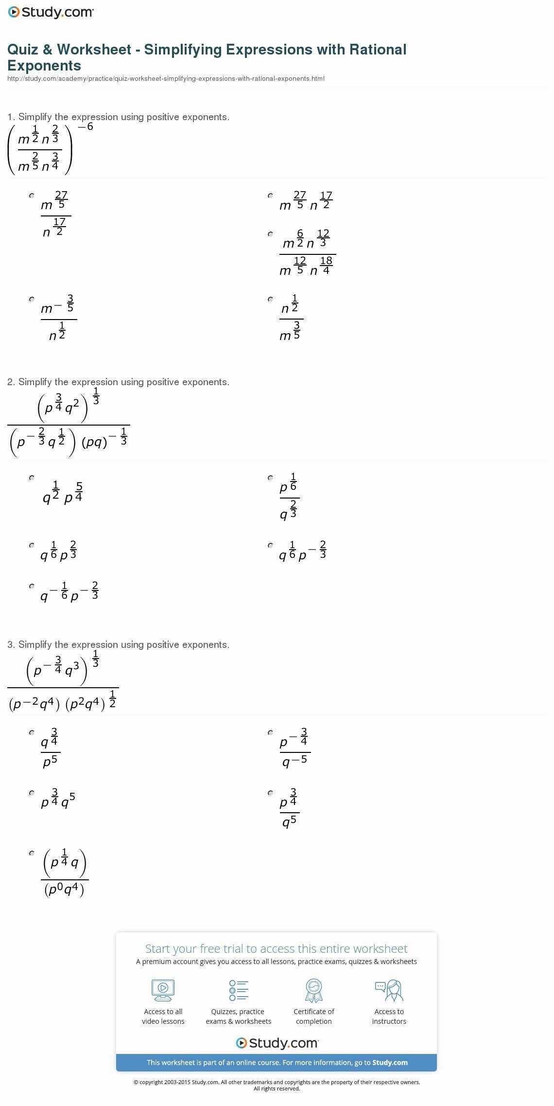
How to Use the Rules of Exponents to Solve Rational Expressions Worksheet Questions.
The rules of exponents can be used to simplify and solve rational expressions worksheet questions. Rational expressions are expressions that contain fractions, and the rules of exponents are a set of rules used to simplify expressions that involve exponents.
To use the rules of exponents to solve worksheet questions, it is important to understand the basic rules of exponents. The first rule is that any number raised to the power of one is equal to the number itself. The second rule is that any number raised to the power of zero is equal to one. The third rule is that when multiplying two numbers with the same base, you add the exponents. The fourth rule is that when dividing two numbers with the same base, you subtract the exponents. The fifth rule is that when raising a power to another power, you multiply the exponents.
Once you have understood the rules of exponents, you can begin to apply them to rational expressions worksheet questions. To do this, you need to identify the exponents in the expression. You then apply the appropriate rule of exponents to simplify the expression. If the expression contains fractions, you can use the rules of exponents to remove the denominator.
Once you have simplified the expression, you can then use basic algebraic rules to solve the expression. This may include multiplying two fractions, combining like terms, or solving equations.
By understanding and applying the rules of exponents to rational expressions worksheet questions, you can simplify and solve complex equations.
The Benefits of Understanding the Different Forms of Rational Expressions and How to Use Them to Answer Worksheet Questions.
Rational expressions are widely used in mathematics to represent fractions containing polynomial expressions. Understanding the various forms of rational expressions and how to use them to answer worksheet questions can be of great benefit to students.
The first form of rational expression is a simple fraction. This type of expression is composed of a numerator and denominator that may contain any combination of polynomial terms. When dealing with such expressions, the goal is to simplify the fraction as much as possible. This can be done by factoring the numerator and denominator and canceling out common factors.
The second form of rational expression is a complex fraction. This type of expression contains an expression in the numerator and/or denominator that is itself a fraction. To simplify such an expression, the inner fraction must first be reduced to its simplest form. This can be done using the same techniques used to reduce simple fractions. Once the inner fraction has been simplified, the outer fraction can then be simplified by canceling out common factors between the numerator and denominator.
The third form of rational expression is a rational function. This type of expression relates two or more polynomials using a single equation. To solve a rational function, the equation must first be factored into its polynomial terms. Then, the various polynomial terms must be combined to form a single fraction. Finally, the fraction must be simplified by canceling out common factors between the numerator and denominator.
Understanding these forms of rational expressions and how to use them to answer worksheet questions can be very beneficial for students. Knowing how to reduce a fraction, solve a complex fraction, and solve a rational function can help students comprehend more advanced math concepts and provide a firm foundation for further study. Also, by understanding these forms of rational expressions, students can gain greater insight into mathematical principles and be better prepared to solve real-world problems.
Exploring the Different Techniques for Solving Rational Expressions Worksheet Problems Quickly and Accurately.
Solving rational expressions worksheet problems can be a daunting task for many students. However, with the right techniques, these problems can be solved quickly and accurately. This article will explore various techniques that can be used to solve rational expressions worksheet problems in an efficient and accurate manner.
One of the most effective techniques for solving rational expressions worksheet problems is to factor the numerator and denominator into simpler expressions. For example, if you are asked to solve the equation (x^2 + 5x + 4)/(x + 4), you can factor the numerator and denominator into (x + 4)(x + 1)/(x + 4). By doing this, you can reduce the equation to a simpler form, allowing you to solve the problem more easily.
Another technique to solve rational expressions worksheet problems is to use the laws of exponents. By using the laws of exponents, you can rewrite the expression in a form that is easier to solve. For example, if you are asked to solve the equation (x^2 + 5x + 4)/(x + 4), you can rewrite it as x^2 + 4x + 1/x + 4, which can be solved more easily.
Finally, you can also use the division property of exponents to solve rational expressions worksheet problems. This technique involves dividing a given expression by another expression, which can be used to simplify the equation. For example, if you are asked to solve the equation (x^2 + 5x + 4)/(x + 4), you can divide the expression by (x + 4) to get (x + 1)/x, which can be solved more easily.
These are just a few of the techniques that can be used to solve rational expressions worksheet problems quickly and accurately. By understanding and applying these techniques, students can easily and accurately solve rational expressions worksheet problems. With practice, students can become adept at solving these problems in a timely and accurate manner.
Conclusion
The Rational Expressions Worksheet Answers provides students with a great resource for understanding the different ways in which rational expressions can be simplified and manipulated. This worksheet provides students with a great opportunity to practice and hone their skills in solving rational expressions, which is an essential tool in mathematics. With this worksheet, students will be able to develop a better understanding of rational expressions, which can help them in future problem-solving situations.
[addtoany]












