Properties Of Exponents Worksheet

How to Use Properties of Exponents Worksheets to Master Exponent Rules

Properties of exponents worksheets can be a powerful tool for mastering the rules of exponents. They provide a hands-on approach to understanding the principles behind the properties, allowing students to gain a deeper and more comprehensive understanding of the concepts.

30 Properties Of Exponents Worksheet Answers | Education Template In Properties Of Exponents Worksheet

When using these worksheets, students should first read the instructions provided. They should then use the provided examples to work through their own problems. It is important that students are able to approach the worksheets in an organized manner, starting with the basics and working their way up.

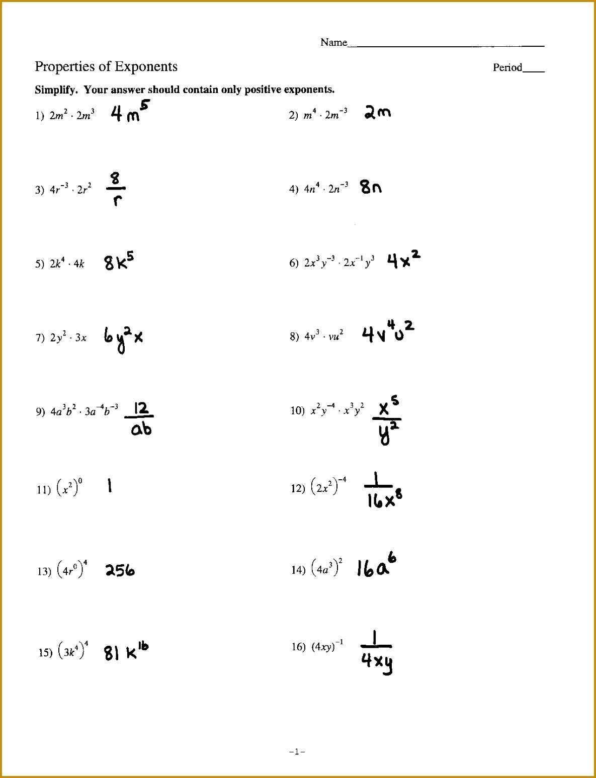
4 Unit 7 Exponent Rules Worksheet 2 Answers | Fabtemplatez Regarding Properties Of Exponents Worksheet

As students progress through the worksheets, they should review the rules and principles that are being taught. This will help them to better understand the concepts and to apply them in their own work. It is also important to note that the worksheets should be done in stages, allowing students to go back and review the material that has already been covered.

[toc]

Once students have completed the worksheets, they should review their answers. This will help them to identify any areas where they may have made mistakes or where they may need to review the material again.

Grade 6 Exponents Worksheets With Properties Of Exponents Worksheet

Properties of exponents worksheets are an effective way to master exponent rules. They provide an organized approach to studying the material and can help students to gain a better understanding of the principles behind the properties. With consistent practice and review, students can become proficient in the rules of exponents and be able to effectively apply them in their own work.

Exploring the Benefits of Properties of Exponents Worksheets for Math Education

Properties of exponents worksheets can be a valuable tool in math education. When used correctly, they can help students develop a better understanding of the mathematical principles of exponents, which are essential for success in advanced mathematics courses.

Exponents Worksheets 5Th Grade - Adaptpaperco — Db Excel Within Properties Of Exponents Worksheet

Exponents are mathematical operations that involve raising a number to a specific power. For instance, when a number is raised to the second power, it is called “squaring.” By understanding the properties of exponents, students can learn how to correctly manipulate these operations and understand the implications of their results.

Properties of exponents worksheets provide students with a clear visual representation of the principles of exponents. The worksheets illustrate the properties of exponents with examples, diagrams and equations. This allows students to clearly see how the properties of exponents interact with each other, and how these properties can be applied to solve mathematical problems.

Exponents And Radicals Worksheet With Answers With Properties Of Exponents Worksheet

Using properties of exponents worksheets in math education can help students better understand the principles of exponents and their implications. By seeing the principles of exponents in action, students can gain a deeper understanding of the mathematics involved. This can help them become more proficient in advanced mathematics courses.

Properties of exponents worksheets can also help students develop critical thinking skills. By solving problems involving exponents, students are forced to think through the implications of their calculations. This helps them to develop problem-solving skills and understand the deeper implications of their work.

Properties of exponents worksheets can be used in both the classroom and at home. They can be used as part of regular math lessons, or as a supplemental activity for students who need extra practice. With the right guidance, students can use the worksheets to understand the principles of exponents and to apply their knowledge to solve mathematical problems.

Properties of exponents worksheets can be a valuable tool in math education. By providing students with a visual representation of the principles of exponents and the implications of their calculations, students can develop a deeper understanding of the mathematics involved. In turn, this can help them become more proficient in advanced mathematics courses.

Tips and Tricks for Mastering Properties of Exponents Worksheets

1. Read through the worksheet before beginning. It is important to understand the instructions before starting the worksheet. Make sure to read over any notes or tips that are provided so that you are familiar with the concepts you are expected to know.

2. Make sure to take notes while reading the worksheet. Understanding the material is one of the most important steps in mastering the properties of exponents. Taking notes will help you remember the concepts and will make it easier to refer back to them when completing the worksheet.

3. Use practice worksheets to review the material before attempting the main worksheet. Practice worksheets can help you to better understand the properties of exponents and can give you an idea of which topics require more practice.

4. Work through the worksheet step-by-step. It is important to take your time and work through the worksheet carefully. If you find yourself stuck on a problem, take a break and come back to it later.

5. Use online resources to help you if you are struggling. There are many online resources available that can help you to better understand the properties of exponents and to work through problems.

6. Ask questions if you need help. If you are having difficulty with any of the concepts in the worksheet, don’t hesitate to ask your teacher or a classmate for help. This will ensure that you fully understand the material before attempting the worksheet.

7. Check your work after completing the worksheet. Once you have finished the worksheet, it is important to check your work to ensure that you have correctly applied the properties of exponents. Taking the time to carefully check your work will increase your chances of mastering the material.

Conclusion

The Properties of Exponents Worksheet is a great tool for students to use in order to learn and practice the essential concepts of exponents. By completing the worksheet, students can identify the rules and properties of exponents, as well as practice solving equations with exponents. This knowledge is essential for students to be able to use exponents in all areas of mathematics.

[addtoany]

5 photos of the "Properties Of Exponents Worksheet"

30 Properties Of Exponents Worksheet Answers | Education Template In Properties Of Exponents Worksheet4 Unit 7 Exponent Rules Worksheet 2 Answers | Fabtemplatez Regarding Properties Of Exponents WorksheetGrade 6 Exponents Worksheets With Properties Of Exponents WorksheetExponents Worksheets 5Th Grade – Adaptpaperco — Db Excel Within Properties Of Exponents WorksheetExponents And Radicals Worksheet With Answers With Properties Of Exponents Worksheet

Related posts of "Properties Of Exponents Worksheet"

American Civil War Summary, American Civil War Facts, Work Sheet | Great Social Studies for Civil War Worksheet Pdf

Civil War Worksheet Pdf

Exploring the Impact of the Civil War Worksheet PDF for Classroom UseThe American Civil War was a defining moment in the history of the United States. This conflict, which took place between 1861 and 1865, pitted the Union, comprised of the North and the West, against the Confederacy, comprising the South. This war had a...

30 Half Life Worksheet Answers | Education Template intended for Half Life Worksheet Answers

Half Life Worksheet Answers

Exploring Half Life Worksheet Answers: A Comprehensive Guide to Understanding Nuclear DecayIntroduction Half-life is a crucial concept in nuclear physics. It is the amount of time required for a sample of a radioactive isotope to decrease to half of its original quantity. Understanding the half-life of radioactive isotopes is essential for predicting their behavior, such...

Reported Speech: Guide And Rephrasing Worksheet for Get The Message Worksheet Answers

Get The Message Worksheet Answers

Analyzing the Benefits of Using Get The Message Worksheet Answers to Improve Communication SkillsThe Get The Message Worksheet Answers is an invaluable tool to improve communication skills in any situation. This worksheet provides a comprehensive approach to analyzing the various aspects of communication, including listening, speaking, reading, and writing. It also helps to identify areas...

Theoretical And Experimental Probability Worksheet in Theoretical And Experimental Probability Worksheet

Theoretical And Experimental Probability Worksheet

Exploring Theoretical and Experimental Probability Using Worksheets: A Guide for TeachersThe probability of an outcome is often an important part of mathematics education. Teaching students about theoretical and experimental probability can be a challenging but rewarding process. Worksheets are a great way for teachers to guide students through this process. This guide will provide an...