How to Use a Pronoun Antecedent Agreement Worksheet to Improve Grammar
Using a Pronoun Antecedent Agreement Worksheet is a great way to improve grammar and ensure that your writing is correct and clear. A pronoun antecedent agreement worksheet can help you make sure that you use pronouns correctly in your writing, as well as identify potential issues with your writing. Here are some steps to follow to make sure you get the most out of using a pronoun antecedent agreement worksheet:
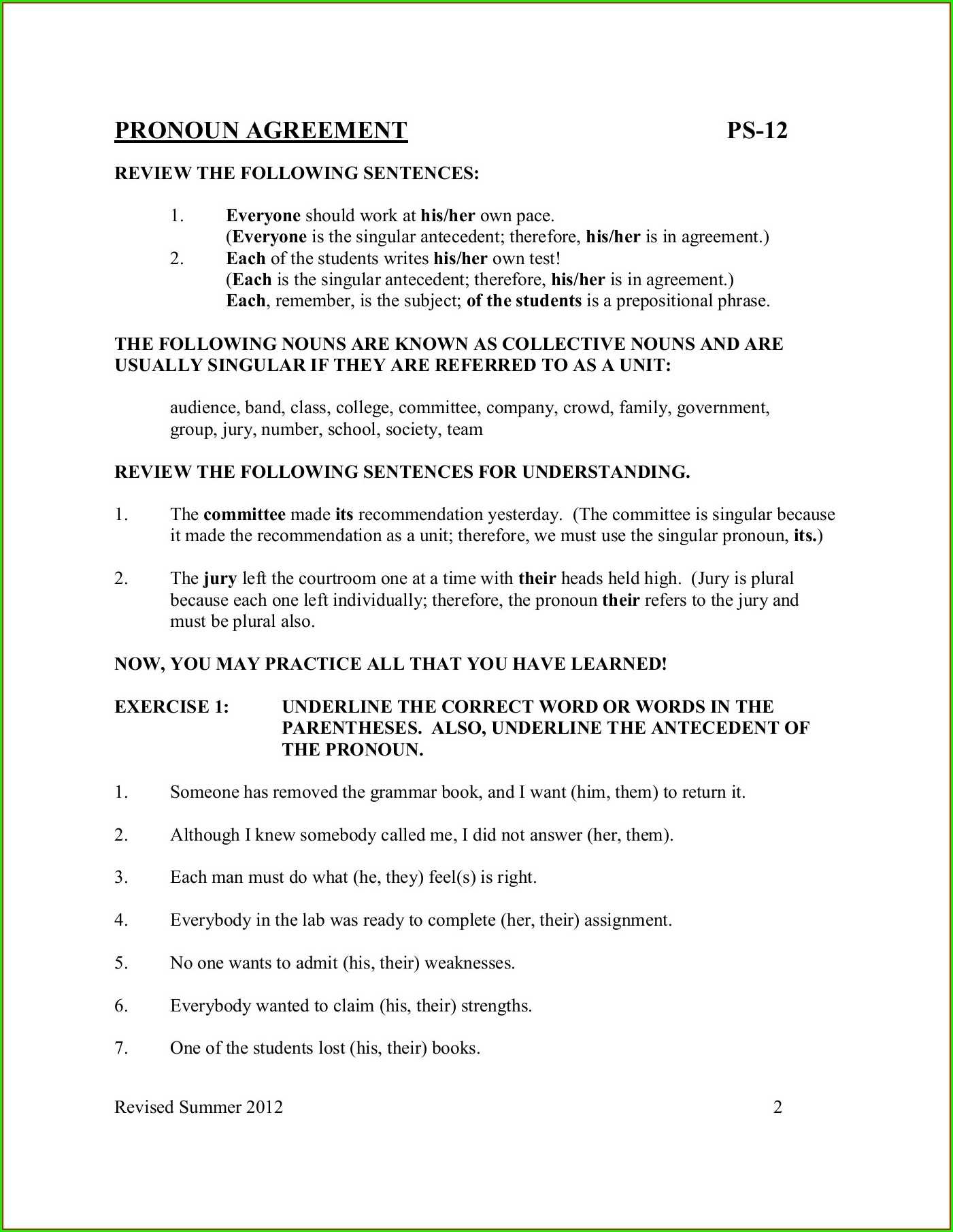
1. Read the instructions carefully. Make sure you understand the instructions before you begin.
2. Read the example sentences provided. These examples will help you understand what a correct pronoun antecedent agreement looks like.
[toc]
3. Identify the pronoun and its antecedent in each sentence. This is an important step as it will help you understand how the sentences should be written.
4. Identify any errors in the sentences. If there are any errors, make sure to identify them and make the necessary corrections.
5. Rewrite the sentences with the correct pronoun antecedent agreement. After you have identified any errors, make sure to rewrite the sentences correctly.
Using a pronoun antecedent agreement worksheet can be a great way to improve your grammar and ensure that your writing is clear and correct. By following the steps above, you can get the most out of the worksheet and ensure that your writing is as clear and correct as possible.
Examples of Common Mistakes in Pronoun Antecedent Agreement
Pronoun antecedent agreement is a central element of grammatical correctness. Common mistakes involving this concept include using a singular pronoun to refer to a plural antecedent, using a plural pronoun to refer to a singular antecedent, and using a gender-specific pronoun to refer to a gender-neutral antecedent.
For example, it is incorrect to say, “The team showed their best effort.” In this sentence, the singular pronoun “their” is being used to refer to the plural antecedent “team.” The correct usage would be, “The team showed its best effort.”
Another common mistake is to say, “Everyone should bring their books.” This sentence is incorrect because the singular pronoun “their” is being used to refer to the singular antecedent “everyone.” The correct usage would be, “Everyone should bring his or her books.”
Finally, it is incorrect to say, “The person should bring their hat.” In this sentence, the gender-specific pronoun “their” is being used to refer to the gender-neutral antecedent “person.” The correct usage would be, “The person should bring his or her hat.”
Overall, proper pronoun antecedent agreement is essential in order to ensure grammatical accuracy. It is important to be mindful of these common mistakes in order to avoid making them.
How to Create a Pronoun Antecedent Agreement Worksheet for Use in the Classroom
Creating a pronoun antecedent agreement worksheet for use in the classroom can be a great way to help students learn the rules of grammar and writing. A pronoun antecedent agreement worksheet should be designed to focus on the correct use of pronouns in relation to the nouns they are referring to. The following steps provide guidelines for creating a useful worksheet for classroom use.
1. Begin by creating a list of example sentences that contain pronouns. The sentences should be varied and should include examples of all types of grammar, such as singular and plural nouns, proper and common nouns, and singular and plural pronouns.
2. After compiling the list of sentences, create a corresponding table that contains two columns. The left column should contain the given sentence, and the right column should provide the correct pronoun for each noun.
3. Provide instructions at the beginning of the worksheet explaining the purpose of the exercise and how to complete it.
4. After completing the worksheet, it is important to give students the opportunity to practice their knowledge. Create a section on the worksheet where students can write their own sentences using the pronouns from the table.
5. Finally, provide feedback by reviewing the answers and discussing any mistakes that students may have made.
By following these steps, teachers can create a useful pronoun antecedent agreement worksheet that can be used in the classroom to help students understand the rules of grammar and writing.
Conclusion
The Pronoun Antecedent Agreement Worksheet is a useful tool for helping students to identify and understand the rules of pronoun/antecedent agreement. By working through the worksheet’s questions and exercises, students will be able to identify and understand the rules of pronoun/antecedent agreement and apply it to their own writing. With this knowledge, students can improve their writing and make it more accurate and coherent.
[addtoany]












