Projectile Motion Worksheet With Answers

How to Structure an Effective Projectile Motion Worksheet With Answers

1. Introduction:
Projectile motion is the motion of an object thrown or projected into the air, subject to only the acceleration of gravity. It is a form of two-dimensional motion, as objects following a ballistic trajectory experience two components of acceleration: vertical acceleration due to gravity and horizontal acceleration due to the initial velocity. In this worksheet, we will look at the equations and principles of projectile motion and their applications.

Worksheet Motion Problems Part 2 Answer Key — Db Excel Within Projectile Motion Worksheet With Answers

2. Definitions:
a) Projectile Motion: Projectile motion is the motion of an object through the air that is only acted upon by gravity. It is characterized by two components of acceleration: vertical acceleration due to gravity, and horizontal acceleration due to the initial velocity.

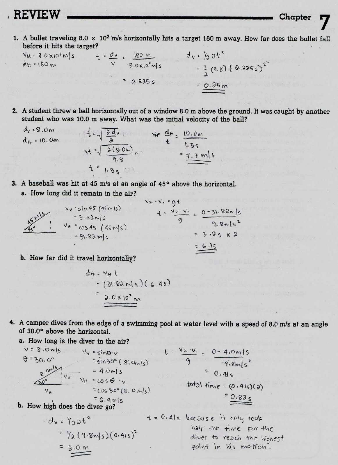
30 Projectile Motion Worksheet With Answers | Education Template Intended For Projectile Motion Worksheet With Answers

b) Angle of Launch: The angle at which a projectile is launched is the angle between the initial velocity and the horizontal.

[toc]

c) Maximum Height: The maximum height of a projectile is the highest point the projectile reaches in its trajectory.

Projectile Motion Worksheet With Answers - Agaliprogram For Projectile Motion Worksheet With Answers

3. Equations of Motion:
a) Horizontal Motion: The equation of motion for horizontal motion is x = v_x * t, where x is the distance traveled in the horizontal direction, v_x is the initial velocity in the horizontal direction, and t is the time elapsed.

b) Vertical Motion: The equation of motion for vertical motion is y = v_y * t – 0.5 * g * t^2, where y is the distance traveled in the vertical direction, v_y is the initial velocity in the vertical direction, g is the acceleration due to gravity, and t is the time elapsed.

30 Projectile Motion Worksheet With Answers | Education Template Intended For Projectile Motion Worksheet With Answers

4. Applications:
a) Finding the Time of Flight: To find the time of flight, we use the equation t = 2 * v_y / g, where t is the time of flight, v_y is the initial velocity in the vertical direction, and g is the acceleration due to gravity.

b) Finding the Maximum Height: To find the maximum height, we use the equation y_max = (v_y^2) / (2 * g), where y_max is the maximum height, v_y is the initial velocity in the vertical direction, and g is the acceleration due to gravity.

30 Projectile Motion Worksheet With Answers | Education Template Regarding Projectile Motion Worksheet With Answers

c) Finding the Range: To find the range, we use the equation R = (v_x^2) / g * sin(2 * Θ), where R is the range, v_x is the initial velocity in the horizontal direction, g is the acceleration due to gravity, and Θ is the angle of launch.

5. Practice Problems:
a) A projectile is launched at an angle of 30° with an initial velocity of 10 m/s. Find the time of flight and the maximum height.

Answer: Time of flight = 2.12 s; Maximum height = 25 m.

b) A projectile is launched at an angle of 45° with an initial velocity of 20 m/s. Find the range and the time of flight.

Answer: Range = 28.3 m; Time of flight = 2.83 s.

Exploring Projectile Motion: Tips for Teaching With a Projectile Motion Worksheet With Answers

Projectile motion is an important concept in physics and can be a tricky concept to teach. However, a projectile motion worksheet with answers can be a great tool to help students understand the physics behind this concept. Here are some tips to help you teach projectile motion with a worksheet.

1. Start with the Basics: Before diving into a worksheet, it is important to review the basics of projectile motion. Explain the concepts of acceleration due to gravity, the initial velocity, and the path of the projectile. Give examples and have students draw diagrams to help explain the concepts.

2. Use Examples: Examples are a great way to help students understand concepts. Provide examples of real-world applications of projectile motion and have students work through them.

3. Explain the Equations: Once students understand the basics and have seen examples, explain the equations used to solve projectile motion problems. Make sure to explain the terms and how they are used.

4. Work Through the Worksheet: Once students understand the equations, have them work through the worksheet. Make sure to explain each problem and provide the answers to the questions.

5. Review the Answers: After students have finished the worksheet, review the answers with them. Make sure they understand why they got the answer they did and why other answers are incorrect.

These tips should help you teach projectile motion with a worksheet with answers. By starting with the basics and providing examples and equations, students will have a better understanding of the concepts behind projectile motion.

Using a Projectile Motion Worksheet With Answers to Develop Problem-Solving Skills in Physics Class

Projectile motion is a key concept in physics that is essential for students to understand. A projectile motion worksheet with answers can be an effective tool for helping students develop problem-solving skills in physics class. This worksheet can provide an engaging way to explore concepts related to this topic, such as kinematics, vectors, and force.

The worksheet can be used as a guided exploration activity or as an independent study activity. In either case, the worksheet should provide students with relevant information and questions that will help them better understand the principles of projectile motion. The questions should include open-ended questions that allow students to explore the concepts in more depth. For example, the worksheet could ask questions such as “What is the total acceleration of a projectile when it is launched at an angle?” or “How does the angle of launch affect the trajectory of the projectile?”

Answers for the worksheet should be provided in the form of diagrams and graphs, as well as written explanations. This will help students to better visualize the concepts and make connections between the concepts they are learning. In addition, the worksheet should include a summary or conclusion section that allows students to review and reflect on what they have learned.

By providing students with a projectile motion worksheet with answers, teachers can create an effective learning environment in which students can develop problem-solving skills. This worksheet can be used as an engaging and interactive way to explore the principles of projectile motion and help students better understand this important concept in physics.

Conclusion

The Projectile Motion Worksheet With Answers has been a great tool for students to better understand the principles of projectile motion. It has provided students with the opportunity to practice their problem-solving skills and to gain a better understanding of the motion of objects in the air. By providing them with the answers to the worksheet, students have been able to apply the knowledge they have gained from the worksheet to real-world scenarios, allowing them to understand the physics of projectile motion in a deeper and more meaningful way.

[addtoany]

5 photos of the "Projectile Motion Worksheet With Answers"

Worksheet Motion Problems Part 2 Answer Key — Db Excel Within Projectile Motion Worksheet With Answers30 Projectile Motion Worksheet With Answers | Education Template Intended For Projectile Motion Worksheet With AnswersProjectile Motion Worksheet With Answers – Agaliprogram For Projectile Motion Worksheet With Answers30 Projectile Motion Worksheet With Answers | Education Template Intended For Projectile Motion Worksheet With Answers30 Projectile Motion Worksheet With Answers | Education Template Regarding Projectile Motion Worksheet With Answers

Related posts of "Projectile Motion Worksheet With Answers"

13 Math Map Scale Worksheets / Worksheeto inside Using A Map Scale Worksheet

Using A Map Scale Worksheet

Exploring Map Scale Basics: How to Use a Map Scale WorksheetUnderstanding the basics of map scale is essential for anyone who wants to use a map for accurate navigation and measurement. A map scale is a ratio that compares the distance between two points on a map to the actual distance between those two points...

1.7 - Solving Absolute Value Equations - Ms. Zeilstra'S Math Classes with Solving Absolute Value Equations Worksheet

Solving Absolute Value Equations Worksheet

Unpacking the Basics of Solving Absolute Value Equations Worksheet: Understanding the Formulas and ProcessesAbsolute value equations are mathematical equations that involve the absolute value of a number or expression. They are used to determine the exact magnitude of a number or expression, regardless of sign. To solve absolute value equations, one must first understand the...

Volume Of Sphere Worksheet for Volume Of Spheres Worksheet

Volume Of Spheres Worksheet

How To Use A Volume Of Spheres Worksheet To Find The Volume Of A SphereFinding the volume of a sphere is a simple process that can be done with a volume of spheres worksheet. This worksheet contains a formula for calculating the volume of a sphere, given its radius. The formula is V = (4/3)*pi*r³,...

50 Meiosis Worksheet Vocabulary Answers | Chessmuseum Template Library intended for Meiosis Worksheet Vocabulary Answers

Meiosis Worksheet Vocabulary Answers

Exploring the Unique Terms Used in Meiosis Worksheet Vocabulary AnswersMeiosis is a process in biology that is essential for the formation of reproductive cells. This process involves the division of a single cell into four genetically unique daughter cells. As a result, the daughter cells contain half the number of chromosomes as the original cell....