Operations On Functions Worksheet

Exploring the Benefits of Using an Operations On Functions Worksheet

An operations on functions worksheet can be an invaluable tool for students who are learning the fundamentals of mathematics. This type of worksheet provides a structured approach to learning the basics of operations on functions. It also allows students to work through problems in a systematic and organized manner.

50 Operations With Functions Worksheet | Chessmuseum Template Library Pertaining To Operations On Functions Worksheet

An operations on functions worksheet typically consists of a series of questions that can be used to help students understand the concepts behind the operations on functions. The questions are divided into sections that allow the student to focus on specific topics. As the student progresses through the worksheet, they will gain a better understanding of the operations on functions.

30 Operations With Functions Worksheet | Education Template With Operations On Functions Worksheet

The worksheet also provides an opportunity for students to practice the operations on functions in a practical way. By completing the questions, students can gain a better understanding of the operations on functions and how they can be applied to different types of problems.

[toc]

The worksheet also provides an opportunity for students to reinforce their understanding of the operations on functions. By working through the questions, students can practice their understanding of the concepts and make sure that they understand them correctly. This helps to ensure that they have a better understanding of the operations on functions and can apply them to real-world problems.

30 Operations On Functions Worksheet | Education Template Inside Operations On Functions Worksheet

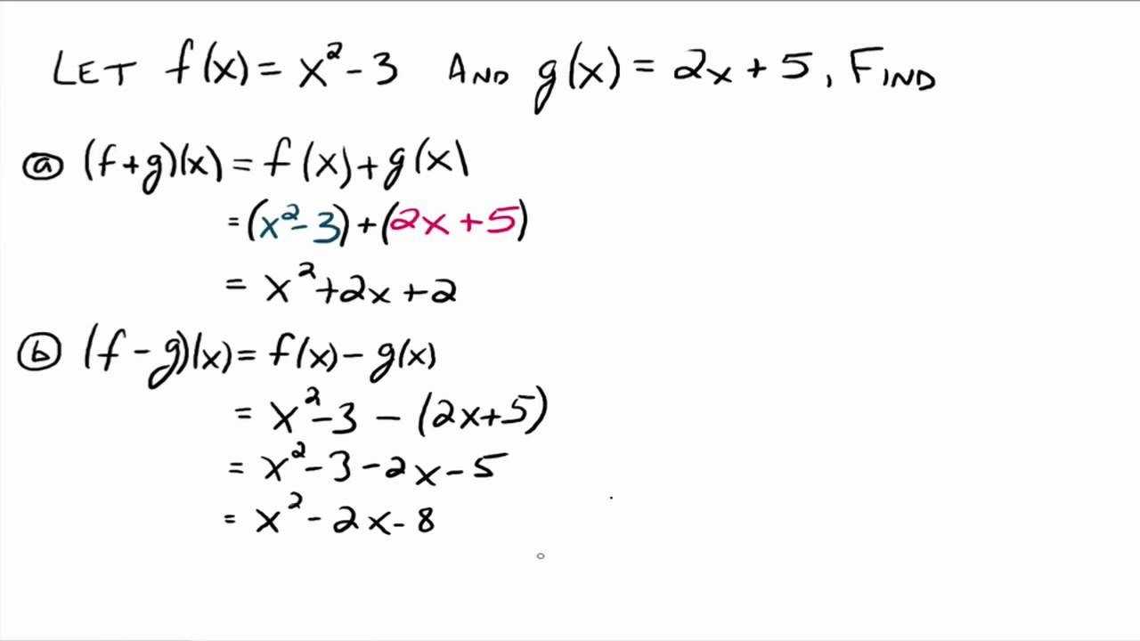
The operations on functions worksheet can also be used to provide a visual representation of the operations on functions. By providing an example of the operations on functions, students can easily understand the concepts and apply them to their own practice.

The operations on functions worksheet is an effective way for students to learn the basics of operations on functions. It allows them to practice the concepts in a structured and organized manner, and provides an opportunity for them to reinforce their understanding of the operations on functions. Through the worksheet, students can gain a better understanding of the operations on functions and how they can be applied to real-world problems.

Operations With Functions Worksheet - Educational Worksheet Pertaining To Operations On Functions Worksheet

Understanding How to Apply Operations On Functions in Real-World Problems

In many real-world applications, it is essential to understand how to apply operations on functions. Operations on functions, also known as functional operations, allow for the manipulation of functions in order to solve complex problems. Depending on the problem, there are different operations that can be used to manipulate the function. These operations include, but are not limited to, addition, subtraction, multiplication, division, composition, and inverse.

When performing operations on functions, one must first identify the type of function being used. For example, if a function is linear, then it can be manipulated using the basic operations of addition, subtraction, multiplication, and division. However, if a function is nonlinear, then other operations, such as composition and inverse, may be required.

30 Operations With Functions Worksheet | Education Template Throughout Operations On Functions Worksheet

Once the type of function and the operations to use have been identified, one can then use the operations to manipulate the function. For example, if one were to add two functions together, the result would be a single, new function. Similarly, if one were to subtract one function from another, the result would be a third function.

In addition to performing operations on functions, one may also need to apply transformations. Transformations are changes that can be made to a function that do not alter its overall shape. Common transformations include shifting, stretching, and reflecting the function. These transformations can be used to modify a function so that it better fits a given problem.

Overall, understanding how to apply operations on functions is an essential skill in real-world applications. By understanding the type of function and the operations used to manipulate it, one can effectively solve complex problems. Additionally, transformations can be used to modify the function so that it better fits a given problem. With the proper application of operations and transformations, one can easily solve complex problems with functions.

Analyzing the Impact of Operations On Functions Worksheet on Math Education

Math education is a vital part of the educational system, and understanding the impact of operations on functions is an important part of this. Operations, such as addition, subtraction, multiplication and division, are used to manipulate the different elements of a function and thereby change the outputs of the function.

The importance of understanding the impact of operations on functions in math education is twofold. First, it allows students to accurately identify and manipulate different elements of a function in order to generate the desired output. This is essential in solving complex equations and problems. Additionally, understanding the impact of operations on functions can help students develop a better understanding of the underlying principles of math and how they interact with each other.

The Operations on Functions Worksheet is designed to help students gain a better understanding of the impact of operations on functions. This worksheet provides students with a variety of different operations and functions, and then asks them to manipulate the different elements of the functions in order to generate the desired output. By doing this, students are able to practice the skill of manipulating functions and operations, and gain a better understanding of how each operation affects a function.

Overall, the Operations on Functions Worksheet is a valuable tool for helping students understand the impact of operations on functions in math education. By providing students with the opportunity to practice manipulating the different elements of a function in order to generate the desired output, the worksheet can help them gain a better understanding of the underlying principles of math, as well as how operations affect functions. Ultimately, this will help them become more adept at solving complex equations and problems.

Conclusion

The Operations on Functions Worksheet is a great resource for learning about functions, operations, and equations. It provides a comprehensive overview of the various operations that can be performed on functions, such as addition, subtraction, multiplication, division, and composition. By practicing these operations, students can develop a deeper understanding of math concepts and gain the skills necessary to solve problems. Additionally, the practice problems included in the worksheet can help students develop confidence in their problem-solving abilities.

[addtoany]

5 photos of the "Operations On Functions Worksheet"

50 Operations With Functions Worksheet | Chessmuseum Template Library Pertaining To Operations On Functions Worksheet30 Operations With Functions Worksheet | Education Template With Operations On Functions Worksheet30 Operations On Functions Worksheet | Education Template Inside Operations On Functions WorksheetOperations With Functions Worksheet – Educational Worksheet Pertaining To Operations On Functions Worksheet30 Operations With Functions Worksheet | Education Template Throughout Operations On Functions Worksheet

Related posts of "Operations On Functions Worksheet"

Two Step Equations Worksheet Pdf | Education Template for 2 Step Equations Worksheet

2 Step Equations Worksheet

10 Tips for Mastering 2 Step Equations Worksheets1. Read the instructions carefully. Before attempting to solve any equations, familiarize yourself with the instructions and understand the task at hand. 2. Review the basics. Refresh your memory on the basics of solving two-step equations, such as the order of operations, solving for a variable, and combining...

Midpoint And Distance Formula Worksheet Doc Worksheet A61 pertaining to Distance Formula Worksheet With Answers

Distance Formula Worksheet With Answers

How to Use the Distance Formula Worksheet to Solve Real-World ProblemsThe Distance Formula worksheet is a valuable tool in solving real-world problems involving distances. It is a useful tool in mathematics and science, particularly when used to measure distances between two points. The worksheet formula is simple to use and is an effective way to...

Physical Chemical Change Worksheet within Physical Vs Chemical Properties Worksheet

Physical Vs Chemical Properties Worksheet

Exploring the Benefits of Utilizing a Physical Vs Chemical Properties WorksheetPhysical and chemical properties are two distinct sets of characteristics that can be used to identify, describe, and classify matter. Physical properties are qualities that can be observed and measured without changing the identity of the substance. Examples of physical properties include color, odor, texture,...

Interpreting Bar Graph Worksheet throughout Interpreting Graphs Worksheet High School

Interpreting Graphs Worksheet High School

Exploring the Benefits of Interpreting Graphs Worksheet for High School Math StudentsGraphs can be an incredibly useful tool for understanding and interpreting a variety of mathematical concepts. As high school math students begin to explore the world of mathematics, they can benefit greatly from learning how to interpret graphs. Graphs can be used to illustrate...