Exploring Real-Life Examples of Multiplying Rational Expressions with a Worksheet
Multiplying rational expressions is a fundamental skill of algebra that is important to understand in order to solve many mathematical problems. In this worksheet, students will explore real-life examples of multiplying rational expressions to help them better understand the process and its applications.
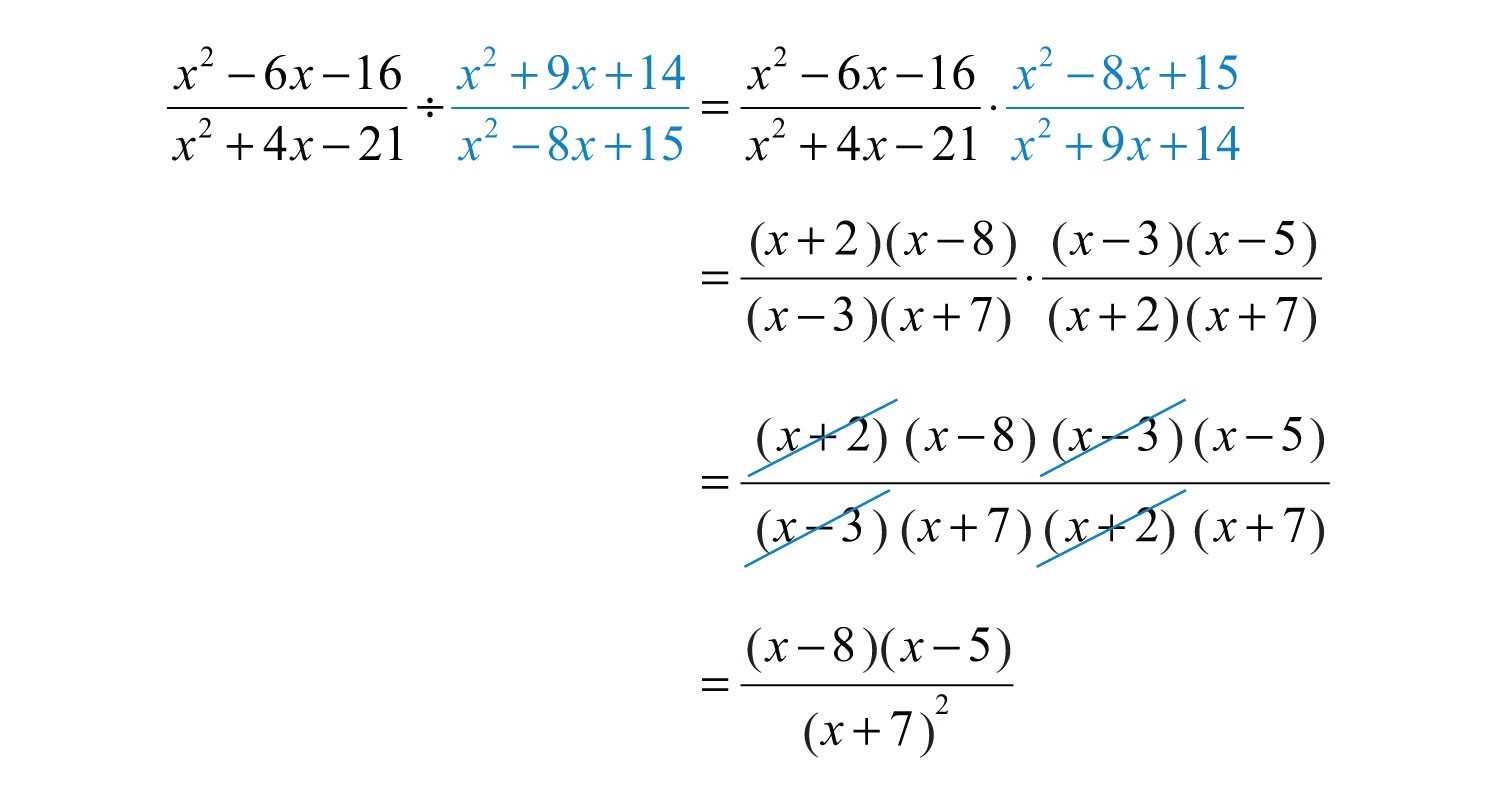
First, students should identify the two rational expressions that need to be multiplied. Then, they should multiply the numerators and denominators separately. Both the numerator and denominator of the resulting expression should be simplified.
For example, if the two rational expressions are (2x + 3) / (x + 1) and (x – 5) / (x + 6), then students should multiply the numerators to get 2x^2 – 13x – 15, and the denominators to get x^2 + 7x + 6. Then, simplifying the expression yields (2x – 3) / (x + 6).
[toc]
Next, students should solve the following real-life examples of multiplying rational expressions.
1. You are driving at a speed of 40 miles per hour and a car is traveling at a speed of 60 miles per hour. What is the difference in their speeds?
Solution: The difference in speed is calculated by multiplying the rational expressions (40 mph) / (1 hour) and (60 mph) / (1 hour). Multiplying the numerators yields 2400 mph, and multiplying the denominators yields 1. Simplifying the expression yields 2400 mph.
2. You are buying a shirt for $25 and a pair of pants for $30. What is the total cost?
Solution: The total cost is calculated by multiplying the rational expressions ($25) / (1 shirt) and ($30) / (1 pair of pants). Multiplying the numerators yields $750, and multiplying the denominators yields 1. Simplifying the expression yields $750.
By working through these examples, students will gain a better understanding of how to multiply rational expressions and how to apply them to real-life scenarios.
How to Use a Multiplying Rational Expression Worksheet to Improve Math Skills
Using a Multiplying Rational Expression Worksheet is an effective way for students to improve their mathematics skills. This worksheet is designed to help students understand the concept of multiplying rational expressions and to develop their problem-solving skills. By completing the worksheet, students will gain an understanding of how to multiply two or more rational expressions in an efficient manner.
To begin, students should review the instructions for the worksheet. The instructions will provide an explanation of the process for multiplying rational expressions, as well as examples of how to work through the problems. Additionally, it is important to review the terms and symbols used in the worksheet. Once the student has a solid understanding of the instructions, they can begin to complete the worksheet.
When completing the worksheet, students should start by identifying the rational expressions they are multiplying. Then, they should use the rules of multiplying rational expressions to determine the answer. It is important that students pay attention to the order of operations while multiplying rational expressions. They should also simplify their answer if possible.
As students work through the worksheet, they should look for patterns and relationships among the answers. This will help them to understand the concept of multiplying rational expressions more effectively. Additionally, it is important for students to check their work for accuracy.
By completing the worksheet, students will gain an understanding of how to multiply rational expressions and apply this knowledge in other mathematics problems. Additionally, they will develop their problem-solving skills and be able to identify and solve more complicated problems in the future.
Tips for Teaching Students to Simplify Multiplying Rational Expressions with a Worksheet
1. Begin by introducing the concept of simplifying rational expressions. Explain the basic rules of multiplying rational expressions, such as the fact that numerators are multiplied and denominators are multiplied.
2. Provide examples of simple multiplication of rational expressions and have students answer the questions on the worksheet. Have students explain their answers and discuss the rules they used.
3. Give students practice problems on the worksheet to help them understand the concept. Have them work in pairs or small groups to solve the problems.
4. Encourage students to use the distributive property when applicable to simplify multiplication. Explain that this can be used to break down a larger expression into simpler terms.
5. Guide students through the process of simplifying more complicated expressions, such as those with multiple terms and variables. Point out common factors and how they can be used to reduce the expression.
6. Give ample time for students to work on the worksheet problems and answer any questions they may have. Have them check their work with a partner and discuss any mistakes they may have made.
7. When all students have completed the worksheet, review the answers as a class. Highlight any important rules and concepts that were discussed during the lesson.
Conclusion
The Multiplying Rational Expression Worksheet is an excellent tool for students to practice their multiplication skills. It covers a variety of topics from simplifying fractions to multiplying binomials and more. The worksheet provides an opportunity for students to practice and strengthen their understanding of how to multiply rational expressions. With practice and repetition, students can become more confident in their ability to solve a variety of problems related to multiplying rational expressions.
[addtoany]












