Midpoint And Distance Formula Worksheet

Exploring the Uses of the Midpoint and Distance Formula Worksheet in Geometry

The midpoint and distance formula worksheet is an invaluable tool in the study of geometry. It is used to find the midpoint and distance between two points in a plane. By using this worksheet, students can quickly and easily calculate the midpoint and distance between two points.

30 Distance And Midpoint Formula Worksheet | Education Template Inside Midpoint And Distance Formula Worksheet

The midpoint and distance formula worksheet is divided into four sections. The first section requires students to identify the coordinates of two given points. Once these coordinates are identified, the worksheet asks students to calculate the midpoint and distance between the two points. The second section of the worksheet asks students to calculate the perimeter and area of a shape using the midpoint and distance formula. The third section of the worksheet asks students to calculate the coordinates of the midpoint of a given line segment. The fourth section of the worksheet asks students to calculate the coordinates of the intersection of two lines.

Midpoint Formula - Kuta Software Throughout Midpoint And Distance Formula Worksheet

The midpoint and distance formula worksheet is an invaluable asset for students studying geometry. It can be used to quickly and accurately calculate the midpoint and distance between two points, as well as the perimeter and area of a given shape. It can also be used to calculate the coordinates of the midpoint of a line segment and the intersection of two lines. The midpoint and distance formula worksheet is a powerful tool that can help students understand the concepts of geometry in a much more efficient and effective way.

[toc]

Working Through Practical Examples of the Midpoint and Distance Formula Worksheet

The midpoint and distance formula worksheet is a valuable tool for students to use when exploring the concepts of midpoint and distance in mathematics. It provides a clear and straightforward way to work through examples of the midpoint and distance formula.

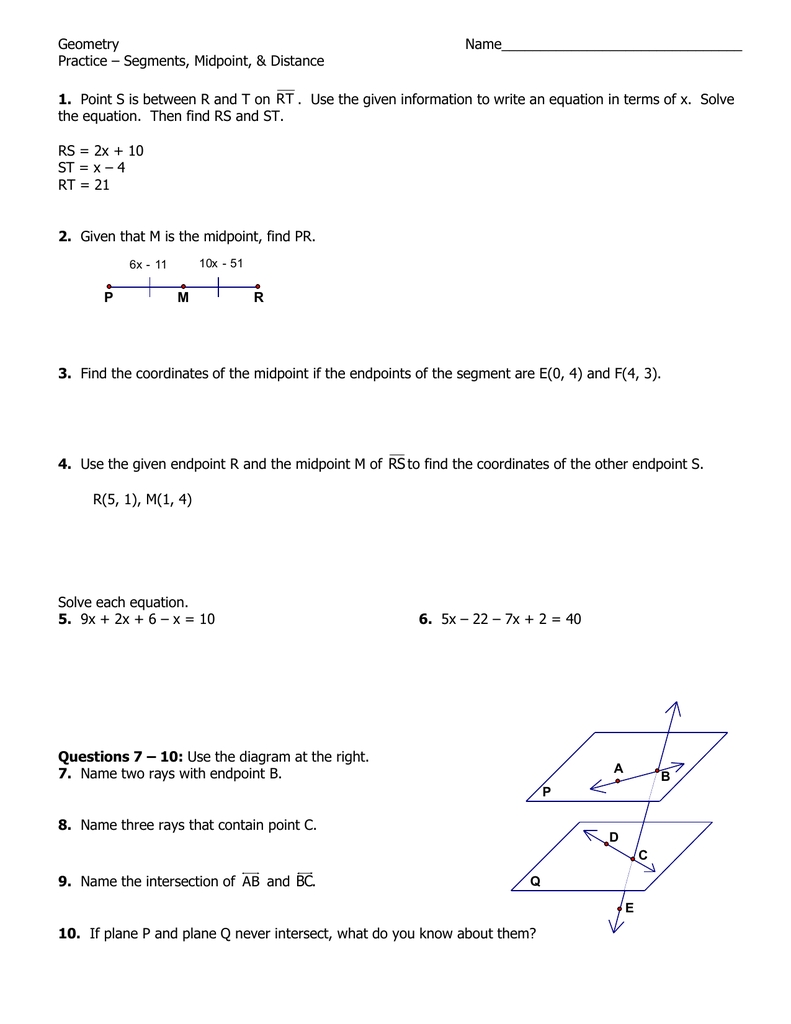
Geometry Name                                Practice - Segments In Midpoint And Distance Formula Worksheet

The worksheet is divided into two sections – a section for the midpoint formula and a section for the distance formula. In the midpoint formula section, students are asked to calculate the midpoint between two given points. To do this, students must first identify the coordinates of each of the given points. They can then use the midpoint formula to determine the coordinates of the midpoint.

In the distance formula section, students are asked to calculate the distance between two given points. Again, they must first identify the coordinates of each point. They can then use the distance formula to determine the distance between the two points.

30 Midpoint And Distance Formula Worksheet | Education Template Within Midpoint And Distance Formula Worksheet

The worksheet also provides a wealth of example problems for students to work through. These examples allow students to gain a better understanding of the midpoint and distance formula, as well as the underlying mathematics.

By working through the examples on the worksheet, students can gain a better understanding of how the midpoint and distance formula can be applied in various situations. This can help them to better apply these concepts in real-world settings.

30 Distance And Midpoint Formula Worksheet | Education Template Within Midpoint And Distance Formula Worksheet

The midpoint and distance formula worksheet is an invaluable resource for students to use when exploring the concepts of midpoint and distance in mathematics. It provides a straightforward and clear way to work through examples of the midpoint and distance formula and gain a better understanding of the underlying mathematics.

How the Midpoint and Distance Formula Worksheet Can Help You Master Geometry Concepts

The Midpoint and Distance Formula worksheet is an invaluable tool for mastering the concepts of geometry. This worksheet will help students to learn the properties of points, lines, and angles, and how to calculate the midpoint and distance between two points. The worksheet is designed to provide step-by-step instructions for each problem, ensuring that students understand the concepts and learn the formulas necessary to solve them.

The Midpoint and Distance Formula worksheet provides a step-by-step breakdown of the formulas and equations used in geometry, from the basic concepts to more advanced topics. It covers topics such as the distance between two points, the midpoint between two points, and the equation of a line. Additionally, the worksheet demonstrates how to use the Pythagorean theorem to calculate distances and midpoints. This will help students to understand and apply the formulas properly.

The Midpoint and Distance Formula worksheet also includes practice problems to help students practice the concepts and formulas. The problems are of varying difficulty, ranging from basic to advanced. This allows students to work at their own pace and allows them to learn at their own level.

The Midpoint and Distance Formula worksheet also includes a section on graph theory. Here, students learn how to create graphs and diagrams to illustrate the concepts that are being discussed. This helps students to visualize the problems and understand the formulas more easily.

The Midpoint and Distance Formula worksheet is an essential tool for mastering the concepts of geometry. It provides step-by-step instructions and practice problems to help students understand the concepts and practice the formulas necessary to solve them. This worksheet will help students master the concepts of geometry, giving them the confidence to tackle more difficult problems.

Conclusion

The Midpoint and Distance Formula Worksheet is an effective tool for students to practice and gain a deeper understanding of the midpoint and distance formulas. With the help of this worksheet, students can easily practice solving problems related to midpoint and distance formulas. Additionally, the worksheet can also be used to practice problem solving skills and to build a foundation for further study in mathematics. Therefore, this worksheet is an important resource for any student looking to increase their knowledge and understanding of the midpoint and distance formulas.

[addtoany]

5 photos of the "Midpoint And Distance Formula Worksheet"

30 Distance And Midpoint Formula Worksheet | Education Template Inside Midpoint And Distance Formula WorksheetMidpoint Formula – Kuta Software Throughout Midpoint And Distance Formula WorksheetGeometry Name                                Practice – Segments In Midpoint And Distance Formula Worksheet30 Midpoint And Distance Formula Worksheet | Education Template Within Midpoint And Distance Formula Worksheet30 Distance And Midpoint Formula Worksheet | Education Template Within Midpoint And Distance Formula Worksheet

Related posts of "Midpoint And Distance Formula Worksheet"

50 Electrical Power Worksheet Answers | Chessmuseum Template Library within Electrical Power Worksheet Answers

Electrical Power Worksheet Answers

How to Use Electrical Power Worksheet Answers to Calculate Your Home Energy NeedsCalculating your home energy needs is important in order to ensure that you have the correct amount of energy to power your home efficiently and safely. Knowing how much energy your home needs will help you budget for electricity usage, as well as...

Simplifying Algebraic Expressions Worksheet Answers throughout Simplifying Algebraic Expressions Worksheet Answers

Simplifying Algebraic Expressions Worksheet Answers

How to Use a Simplifying Algebraic Expressions Worksheet to Learn AlgebraAlgebra is an essential mathematical skill that can be daunting for students to learn. However, using a Simplifying Algebraic Expressions Worksheet can help make the process easier. This type of worksheet provides students with practice problems that require them to simplify equations and expressions. Through...

10++ Colon And Semicolon Practice Worksheets With Answers - Coo Worksheets with regard to Semicolon And Colon Worksheet

Semicolon And Colon Worksheet

How to Teach Semicolon and Colon Usage Through WorksheetsWorksheets are a fantastic way to teach students about semicolons and colon usage. It is important to provide students with clear and concise instructions on how to use these punctuation marks correctly. When creating a worksheet to teach semicolon and colon usage, it is important to begin...

30 Graphing Linear Equations Worksheet Pdf - Worksheet Information intended for Graphing Linear Equations Worksheet Pdf

Graphing Linear Equations Worksheet Pdf

Unpacking the Basics of Graphing Linear Equations Worksheets: A Comprehensive GuideGraphing linear equations worksheets are an essential part of any high school math course. They provide students with the opportunity to practice and reinforce their knowledge of the fundamental principles of linear equations. This comprehensive guide will provide an overview of the basics of graphing...