Intermediate Value Theorem Worksheet

Exploring the Intermediate Value Theorem: A Step-by-Step Guide to Working Through an Intermediate Value Theorem Worksheet

The Intermediate Value Theorem (IVT) is an important tool in calculus and other areas of mathematics. It states that if a continuous function f takes on two different values a and b, then there exists at least one number c in the interval [a, b] such that f(c) = 0. In other words, a continuous function must pass through any value between its two inputs. This can be used to solve equations, find roots, and solve inequalities.

Math 21A Discussion Sheets, Worksheets, Supplementary Class Handouts Regarding Intermediate Value Theorem Worksheet

The following is a step-by-step guide to working through an Intermediate Value Theorem worksheet.

Ap Calculus Calculus Problems Worksheet : Calculus Worksheets Throughout Intermediate Value Theorem Worksheet

Step 1: Read the problem and set up the equation. Make sure to identify the function, its domain, and its range. This will help you identify the values a and b.

[toc]

Step 2: Draw a graph of the function, if needed. Doing so can help you visualize the relationship between the function and its inputs.

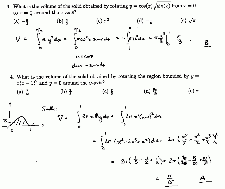
Ap Calculus Calculus Problems Worksheet / Ap Calculus Bc Exam Problem 3 Within Intermediate Value Theorem Worksheet

Step 3: Set up the IVT equation. This is done by stating that there exists at least one number c in the interval [a, b] such that f(c) = 0.

Step 4: Solve the equation. This can be done using algebraic or numerical methods.

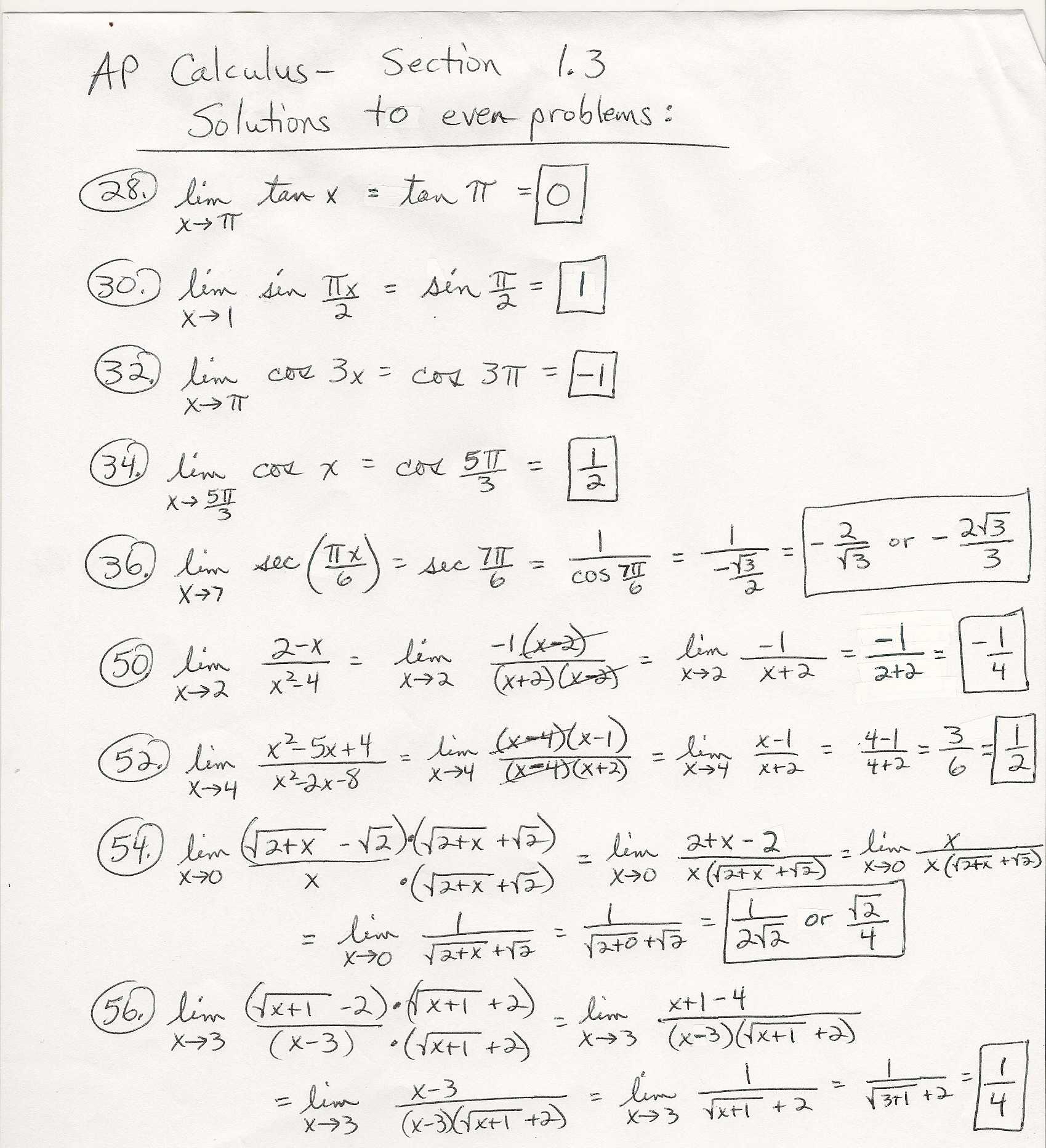
Midterm+Test+Solutions4 - @Qgg Tow Mta L Ermbsi I Ock 20 Page7Of11 Your In Intermediate Value Theorem Worksheet

Step 5: Check your answer. Make sure to verify that your answer satisfies the IVT equation, as well as any other constraints that were given.

Using the Intermediate Value Theorem can be a great way to solve equations, find roots, and solve inequalities. With the help of this step-by-step guide, you can work through an Intermediate Value Theorem worksheet with ease.

Ap Calculus Calculus Problems Worksheet / Honors Algebra Ii Ap Calculus Pertaining To Intermediate Value Theorem Worksheet

A Comprehensive Overview of the Intermediate Value Theorem and How it Applies to Problems on an Intermediate Value Theorem Worksheet

The Intermediate Value Theorem (IVT) is an important theorem in mathematics that states that if a continuous function f(x) is defined on a closed interval [a,b], then for any value c between f(a) and f(b) there exists at least one x-value in the interval such that f(x)=c. In other words, for any y-value that is between the y-values of the endpoints of the interval, there is an x-value that produces that y-value when plugged into the function.

This theorem has many applications in mathematics, particularly in calculus, and understanding how to apply it to solve problems is an essential skill for any mathematician. Many textbooks have worksheets that allow students to practice using the Intermediate Value Theorem to solve problems.

Generally speaking, solving a problem with the Intermediate Value Theorem requires that you look at the graph of a continuous function and identify what values the function takes at its endpoints. Then, you must identify the value you are looking for that is between the two endpoints. The next step is to use the theorem to state that there exists an x-value in the interval that produces the target y-value. Finally, you must solve the equation to determine what that x-value is.

The questions on an Intermediate Value Theorem worksheet will usually require students to identify the endpoints of the interval, the value of the function at the endpoints, the value that is between the endpoints, and then solve for the x-value. These worksheets usually provide a graph of the function along with values at the endpoints so that students can visualize the problem and identify the necessary information.

The Intermediate Value Theorem is a powerful tool for solving equations and is an essential part of any mathematician’s toolbox. Working through an Intermediate Value Theorem worksheet is a great way to become comfortable with the theorem and gain experience applying it to real-world problems.

Examining the Uses of an Intermediate Value Theorem Worksheet: An In-Depth Analysis of Intermediate Value Theorem Problems and Solutions

This Intermediate Value Theorem Worksheet provides an in-depth analysis of the Intermediate Value Theorem and its use in problem solving. This worksheet is designed to help students gain a better understanding of the theorem, as well as its applications in problem solving.

The worksheet begins with an introduction to the Intermediate Value Theorem, providing a brief overview of the theorem and its basic principles. This is followed by a detailed breakdown of the theorem, including a description of the assumptions needed in order to use it. The worksheet then presents a number of example problems and solutions, demonstrating how to use the theorem to solve various types of problems.

The worksheet also provides explanations and examples of the different types of questions that may be asked when using the Intermediate Value Theorem. It explains how to interpret the questions, and provides guidance on how to approach them. The worksheet then presents several practice problems, giving students the opportunity to apply the theorem to solve different types of problems.

Finally, the worksheet provides a detailed discussion of the implications of the Intermediate Value Theorem. It discusses the implications of the theorem on the behavior of functions, and how it can be used to determine the properties of functions. It also explains how the theorem can be used to identify the location of local extrema in functions, and provides examples of how the theorem can be used to identify the location of global extrema.

This Intermediate Value Theorem Worksheet provides a comprehensive overview of the theorem and its applications in problem solving. It is an excellent resource for students who are looking to gain a better understanding of the theorem, as well as its use in solving various types of problems.

Conclusion

The Intermediate Value Theorem Worksheet provides an excellent tool for exploring the different aspects of the Intermediate Value Theorem. Through this worksheet, students can explore the various forms of the theorem, identify the conditions for its validity, and practice applying it to various problems. By working through the Intermediate Value Theorem Worksheet, students can gain a better understanding of the theorem and its implications on mathematics and science.

[addtoany]

5 photos of the "Intermediate Value Theorem Worksheet"

Math 21A Discussion Sheets, Worksheets, Supplementary Class Handouts Regarding Intermediate Value Theorem WorksheetAp Calculus Calculus Problems Worksheet : Calculus Worksheets Throughout Intermediate Value Theorem WorksheetAp Calculus Calculus Problems Worksheet / Ap Calculus Bc Exam Problem 3 Within Intermediate Value Theorem WorksheetMidterm+Test+Solutions4 – @Qgg Tow Mta L Ermbsi I Ock 20 Page7Of11 Your In Intermediate Value Theorem WorksheetAp Calculus Calculus Problems Worksheet / Honors Algebra Ii Ap Calculus Pertaining To Intermediate Value Theorem Worksheet

Related posts of "Intermediate Value Theorem Worksheet"

Algebra 1 Worksheets | Equations Worksheets inside Evaluating Functions Worksheet Algebra 1

Evaluating Functions Worksheet Algebra 1

Exploring the Benefits of Using an Evaluating Functions Worksheet Algebra 1An evaluating functions worksheet algebra 1 can be a great tool for students to use when learning about the basics of algebra. It provides an efficient way for students to practice and master topics such as evaluating functions, finding the domain and range of a...

√ 20 Dividing Radical Expressions Worksheet | Simple Template Design pertaining to Dividing Radical Expressions Worksheet

Dividing Radical Expressions Worksheet

How to Use a Dividing Radical Expressions Worksheet to Improve Your Math SkillsUsing a dividing radical expressions worksheet is an excellent way to improve your math skills. This type of worksheet allows you to practice working with radical expressions, which are equations that involve the use of square roots. By using a worksheet, you can...

Weather Merit Badge Worksheet intended for Weather Merit Badge Worksheet

Weather Merit Badge Worksheet

Exploring the Requirements of the Weather Merit Badge Worksheet: What Scouts Need to KnowEarning the Weather Merit Badge is a challenge that Scouts must take on with enthusiasm and dedication. This badge provides Scouts with the opportunity to learn about and understand the science of meteorology. In order to earn this badge, Scouts must demonstrate...

17 Linear Function Word Problems Worksheet / Worksheeto throughout Linear Functions Word Problems Worksheet

Linear Functions Word Problems Worksheet

How to Approach Linear Functions Word Problems Worksheet: A Step-by-Step Guide1. Read the Problem: Carefully read the problem and identify the task to be completed. Pay close attention to the key words and phrases so you can determine what type of linear function is being used. 2. Identify the Variables: Identify the variables (the numbers...