Composite Function Worksheet Answer Key

Explaining the Basics of Composite Function Worksheet Answer Keys

Composite functions are an important concept in mathematics that allow us to combine two or more functions, resulting in a single, new function. The worksheet answer keys provided can be used to help students understand the basics of working with composite functions.

30 Composite Function Worksheet Answer Key | Education Template Inside Composite Function Worksheet Answer Key

To begin, let’s define a function. A function is a mathematical relationship between two variables, where one input will always produce one output. For example, if we have the function f(x) = x2, then for any value of x we put in, the output will always be x2.

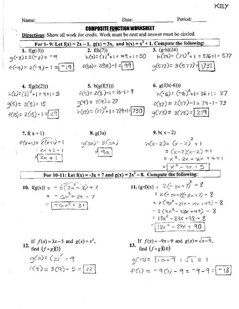
Composite Function Worksheet Answers — Db Excel For Composite Function Worksheet Answer Key

Composite functions are formed by combining two or more functions together. This is done by substituting one of the functions with the output of the other. To illustrate, let’s consider the composite function g(x) = (f + h)(x). This function is made up of two functions: f and h. To evaluate this composite function, we first need to evaluate each function separately, and then substitute the output of one of the functions into the other.

[toc]

For example, suppose f(x) = 2x and h(x) = x2. We can then evaluate the composite function g(x) as follows:

30 Composite Function Worksheet Answer Key | Education Template With Regard To Composite Function Worksheet Answer Key

g(x) = (f + h)(x) = (2x + x2)(x) = 2x + x3.

Therefore, for any value of x, the output of g(x) will be 2x + x3.

30 Composite Function Worksheet Answer Key | Education Template Pertaining To Composite Function Worksheet Answer Key

The provided worksheet answer keys can be used to help students understand these concepts. For example, the answer key will tell students what the output of the composite function is for any given input. This can be a helpful resource for students to refer to when struggling with a problem.

Overall, composite functions are an important concept in mathematics and the worksheet answer keys provided can be used to help students understand the basics of working with them. With these keys, students can evaluate composite functions for any given input and understand the resulting output.

30 Composite Function Worksheet Answer Key | Education Template Intended For Composite Function Worksheet Answer Key

How to Utilize a Composite Function Worksheet Answer Key to Maximize Student Learning

A composite function worksheet answer key can be an invaluable tool for educators looking to maximize student learning. By providing students with a composite function worksheet answer key, educators are able to help students gain a better understanding of the material.

The worksheet answer key should be used to provide students with a comprehensive view of how composite functions are used in real-world scenarios. It should provide students with a visual representation of how the functions work, and how they interact with each other. Through this visual representation, students may gain a better understanding of the concepts and can better apply this knowledge to their own works.

When creating a composite function worksheet answer key, it is important to ensure that the key is easy to read and understand. This includes providing students with clear instructions and visual representations of each problem. It is also important to ensure that the key is comprehensive and includes all the relevant information needed to complete each problem.

To ensure that students have a successful experience with the worksheet, it is important to provide them with feedback. This feedback should include a summary of the problem and its solution, as well as any additional information needed to complete the problem. Additionally, it is beneficial to provide students with a list of tips and hints to help them better understand the concepts.

By providing students with a composite function worksheet answer key, educators can ensure that students gain a comprehensive understanding of the material. This will ensure that students are able to apply the concepts to their own works, and can make use of the concepts to create their own solutions. With a comprehensive understanding of the material, students will be better prepared for future challenges and can apply the concepts to their own works.

Common Mistakes to Avoid When Working with Composite Function Worksheet Answer Keys

1. Not reading the worksheet question carefully: It is important to read the questions carefully and make sure that all the correct information is being provided. It is also important to pay attention to any instructions, such as the number of decimal places to include when giving an answer.

2. Not providing enough detail in the answer: When providing an answer to a composite function worksheet, it is important to provide enough detail to show the steps taken to arrive at the answer. This includes providing any equations used, and explaining any assumptions made in the process.

3. Not double-checking the answer: It is essential to double-check the answer to a composite function worksheet before submitting it. This could include checking it against the answer key or using a calculator to ensure the answer is correct.

4. Not properly formatting the answer: When providing an answer to a composite function worksheet, it is important to format it correctly. This includes ensuring all the symbols, equations and numbers are in the right place and that the answer is clearly presented.

5. Not understanding the answer key: It is important to understand the answer key provided with the worksheet. This will help to ensure the answer given is correct and provides an explanation of how the answer was arrived at.

Examples of Complex Composite Function Worksheet Answer Keys and Their Solutions

Answer Key 1:

Complex Composite Function

Given the functions f(x) = 2x + 1 and g(x) = 3×2 – 2x + 4, find the composite function (f ○ g)(x).

Solution:

The composite function (f ○ g)(x) is the result of first evaluating the function g(x), followed by the function f(x). Thus, (f ○ g)(x) = f(g(x)). Substituting g(x) into f(x), we get (f ○ g)(x) = f(3×2 – 2x + 4). Simplifying, we have (f ○ g)(x) = 2(3×2 – 2x + 4) + 1. Further simplifying, this results in (f ○ g)(x) = 6×2 – 4x + 9.

Answer Key 2:

Complex Composite Function

Given the functions f(x) = x2 + 3x + 4 and g(x) = 2×2 – 5x + 8, find the composite function (f ○ g)(x).

Solution:

The composite function (f ○ g)(x) is the result of first evaluating the function g(x), followed by the function f(x). Thus, (f ○ g)(x) = f(g(x)). Substituting g(x) into f(x), we get (f ○ g)(x) = f(2×2 – 5x + 8). Simplifying, we have (f ○ g)(x) = (2×2 – 5x + 8)2 + 3(2×2 – 5x + 8) + 4. Further simplifying, this results in (f ○ g)(x) = 4×4 – 20×3 + 58×2 – 50x + 64.

Conclusion

The Composite Function Worksheet Answer Key provides a great resource for students to practice and review their understanding of composite functions. It is also helpful for educators to assess students’ understanding of the topic and to provide further guidance and support. Additionally, the answer key provides insight into the various components of a composite function, such as the domain, range, and operations. Understanding composite functions is important for students to be able to effectively apply mathematics in their daily lives.

[addtoany]

5 photos of the "Composite Function Worksheet Answer Key"

30 Composite Function Worksheet Answer Key | Education Template Inside Composite Function Worksheet Answer KeyComposite Function Worksheet Answers — Db Excel For Composite Function Worksheet Answer Key30 Composite Function Worksheet Answer Key | Education Template With Regard To Composite Function Worksheet Answer Key30 Composite Function Worksheet Answer Key | Education Template Pertaining To Composite Function Worksheet Answer Key30 Composite Function Worksheet Answer Key | Education Template Intended For Composite Function Worksheet Answer Key

Related posts of "Composite Function Worksheet Answer Key"

Formula For Using The Scientific Method - Owlcation within Scientific Method Worksheet Middle School

Scientific Method Worksheet Middle School

Using Scientific Method Worksheets to Teach Middle School Students about the Process of Science.The scientific method is an important concept for middle school students to understand, as it is the foundation of the scientific process. Scientific method worksheets can be an excellent tool for teaching students about the process of science. These worksheets can be...

Cell Transport Review Worksheet — Db-Excel for Cell Transport Review Worksheet

Cell Transport Review Worksheet

Exploring the Basics of Cell Transport: A Comprehensive Review WorksheetCell transport is an essential process in the maintenance of life. It is the movement of molecules, ions, and other particles across the cell membrane. In order for cells to survive and function properly, these substances must be exchanged with their environment to obtain nutrients and...

Blank Nutrition Label Worksheet for Blank Nutrition Label Worksheet

Blank Nutrition Label Worksheet

How to Use a Blank Nutrition Label Worksheet to Track Your Diet Proper nutrition is an important part of a healthy lifestyle, and tracking your diet is a great way to make sure you are getting the recommended daily amount of nutrients and calories. A blank nutrition label worksheet can be an effective tool to...

Find Speed, Distance And Time Worksheet - Edplace pertaining to Speed Time And Distance Worksheet

Speed Time And Distance Worksheet

Exploring the Benefits of Speed Time and Distance WorksheetsSpeed, time, and distance are key components of mathematics that are essential for understanding many real-world situations. Worksheets that focus on these topics can be extremely beneficial for students struggling to grasp the concepts, as well as for those seeking to reinforce their knowledge. Speed time and...