Exploring the Benefits of Using a Calculating Specific Heat Worksheet
Calculating specific heat is an important concept in the study of thermodynamics and heat transfer. It is a measure of the amount of energy (in the form of heat) required to raise the temperature of a given substance by one degree Celsius. Knowing the specific heat of a substance is necessary for a variety of engineering and scientific applications, such as calculating the energy released or absorbed during a reaction, predicting the temperature of a body after a certain amount of energy is added or removed, and calculating the efficiency of heat transfer systems.
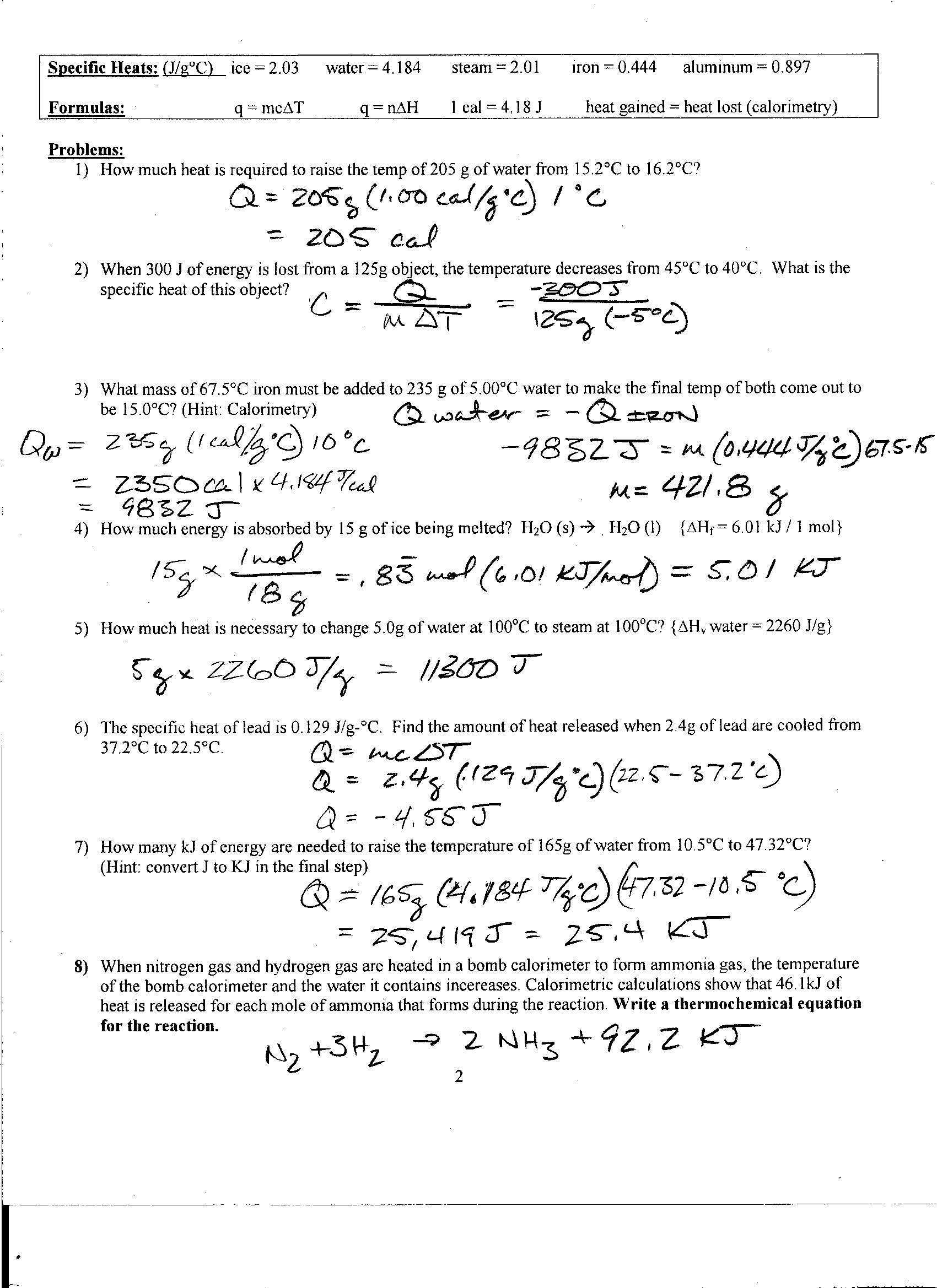
A calculating specific heat worksheet is an invaluable tool for anyone looking to calculate the specific heat of a substance. This worksheet provides a straightforward method for performing the necessary calculations, and can be used to efficiently and accurately determine the specific heat of a given substance.
The worksheet begins by asking the user to input the mass, initial temperature, and final temperature of the substance in question. The worksheet then uses the inputs to calculate the amount of energy required to raise the temperature of the substance by one degree Celsius. This result is then multiplied by the mass of the substance to arrive at the specific heat of the substance.
[toc]
Using a calculating specific heat worksheet has many advantages over more manual methods of calculating specific heat. For one, the worksheet streamlines the process, saving time and energy that would have been spent performing the calculations by hand. It also eliminates possible errors associated with manual calculations, ensuring that a precise and accurate result is obtained.
Furthermore, the worksheet can be used to easily compare the specific heats of different substances. This can be especially useful for determining the most efficient material for a given application. It also allows for quick and efficient optimization of heat transfer systems, enabling engineers to identify and improve areas of inefficiency.
In conclusion, a calculating specific heat worksheet is a simple yet powerful tool for anyone looking to calculate the specific heat of a substance. It offers significant time savings, eliminates potential errors, and can be used to compare the specific heats of different substances. As such, it is an invaluable tool for engineers and scientists alike.
Understanding the Fundamentals of Completing a Calculating Specific Heat Worksheet
Completing a calculating specific heat worksheet involves understanding the fundamentals of thermodynamics and heat transfer. Specific heat is a measure of how much energy is needed to raise the temperature of a certain amount of a substance by one degree Celsius. To accurately calculate the specific heat of a substance, a few key pieces of information must be known.
The first step to completing a calculating specific heat worksheet is to determine the mass and initial temperature of the substance being analyzed. The mass of the substance is typically expressed in grams or kilograms, while the initial temperature is traditionally given in degrees Celsius.
The second step is to determine the change in temperature of the substance. This is determined by subtracting the initial temperature from the final temperature of the substance. The final temperature of the substance is typically given in degrees Celsius.
The third step is to calculate the quantity of energy needed to raise the temperature of the substance. This is typically expressed in joules (J). To calculate the energy, use the equation: Energy = Mass x Change in Temperature x Specific Heat.
The fourth step is to calculate the specific heat of the substance. To do this, divide the energy by the mass, change in temperature, and a constant (4.18 J/g◦C). The resulting number is the specific heat of the substance.
Completing a calculating specific heat worksheet requires a thorough understanding of thermodynamics and heat transfer. A basic knowledge of the relevant equations is also necessary in order to accurately determine the specific heat of a substance.
Looking at Common Mistakes to Avoid When Working on a Calculating Specific Heat Worksheet
When working on a calculating specific heat worksheet, it is important to avoid common mistakes in order to ensure accurate results. Firstly, it is essential to pay attention to the units of measurement and make sure that they are consistent throughout the entire process. Secondly, it is important to properly label all of the data in order to reduce confusion. Thirdly, all of the calculations should be double-checked to ensure accuracy. Additionally, it is important to pay attention to the equations used and make sure that they are correct. Finally, any assumptions made should be clearly noted, and all of the calculations should be organized in a logical manner. By avoiding these common mistakes, it is possible to ensure that the results from a calculating specific heat worksheet are accurate and reliable.
Conclusion
The Calculating Specific Heat Worksheet has been a useful tool for learning about the properties of matter. It has allowed students to calculate specific heat and understand the concept of energy transfer between objects. In conclusion, this worksheet has helped students gain a better understanding of the concepts and principles behind the science of thermodynamics.
[addtoany]












