Multiplying Mixed Fractions Worksheet

Multiplying Mixed Numbers By Fractions 5Th Grade Maths Worksheets throughout Multiplying Mixed Fractions Worksheet

How Multiplying Mixed Fractions Worksheets Can Help Students Learn Math Multiplying mixed fractions worksheets can be an invaluable tool for helping students learn math. These worksheets provide an organized and efficient way for students to practice and master fraction multiplication. The worksheets are designed to help students develop the necessary skills for solving fraction multiplication … Read more

Multiplying Fractions Word Problems Worksheet

Wwwmoncoresheets Unit Fraction Word Problems Answer Key - Jason intended for Multiplying Fractions Word Problems Worksheet

5 Tips to Help Students Master Multiplying Fractions Word Problems with a Worksheet 1. Provide a Clear Explanation: Before beginning the worksheet, it is important to provide a clear explanation of the process of multiplying fractions. Explain the importance of finding common denominators, the meaning of a reciprocal, and the steps of cross-multiplying. 2. Model … Read more

Multiplying Fractions Using Models Worksheet

Multiplying Fractions Area Model Worksheet | Worksheet For Education in Multiplying Fractions Using Models Worksheet

Exploring the Benefits of Using Models to Teach Multiplying Fractions Modeling has become an increasingly popular technique for teaching multiplying fractions due to its effectiveness in helping students understand the concept. By providing a visual representation of the process, students are better able to comprehend the concept and become more confident in their ability to … Read more

Multiplying Fractions Area Model Worksheet

Area Model Multiplication Fractions : Multiplying Fractions Worksheets Multiplying Fractions in Multiplying Fractions Area Model Worksheet

How to Use a Multiplying Fractions Area Model Worksheet to Teach Math Concepts A Multiplying Fractions Area Model Worksheet is an excellent tool for teaching math concepts such as multiplying fractions. This worksheet helps students visualize the process of multiplying fractions and can be used to reinforce understanding of the basic principles behind the operation. … Read more

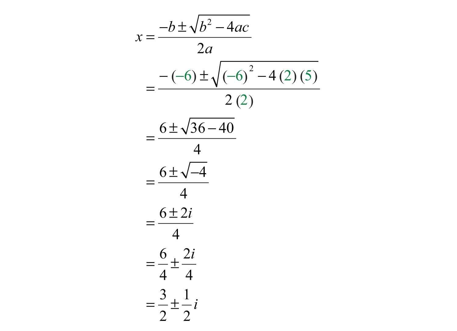
Multiplying Complex Numbers Worksheet

36 Multiplying Complex Numbers Worksheet - Combining Like Terms Worksheet intended for Multiplying Complex Numbers Worksheet

Understanding Multiplying Complex Numbers: A Step-by-Step Guide Using a Worksheet Multiplying complex numbers can be a challenging task for many students. To help make the process easier, this step-by-step guide will provide an overview of the process using a worksheet. First, the student must be familiar with the definition of complex numbers. A complex number … Read more

Multiplying By 6 Worksheet

6 Times Table Interactive Worksheet for Multiplying By 6 Worksheet

Exploring Strategies for Teaching Multiplying by 6: A Guide for Parents and Teachers Multiplying by 6 can be a tricky concept for children to master. However, with the right strategies and guidance from parents and teachers, students can gain a greater understanding of this mathematical process. Here are some tips and strategies for teaching multiplying … Read more

Multiplying And Dividing Monomials Worksheet

Multiplying And Dividing Monimials Worksheet (Pdf) And Answer Key. Over with regard to Multiplying And Dividing Monomials Worksheet

Understanding the Basics of Multiplying and Dividing Monomials: A Comprehensive Worksheet Guide This comprehensive worksheet guide will provide students with the necessary skills to understand the basics of multiplying and dividing monomials. It is designed to help students develop a strong foundation of knowledge and understanding of the fundamental concepts of multiplying and dividing monomials. … Read more

Multiplying And Dividing Integers Worksheet

30 Multiply And Divide Integers Worksheet | Education Template in Multiplying And Dividing Integers Worksheet

How to Use a Multiplying And Dividing Integers Worksheet to Teach Math Concepts One way to teach math concepts to students using a multiplying and dividing integers worksheet is to begin by having students identify the signs for each operation. This will help students understand that a plus sign indicates addition, a minus sign indicates … Read more

Multiply Rational Expressions Worksheet

30 Multiply Rational Expressions Worksheet | Education Template pertaining to Multiply Rational Expressions Worksheet

Understanding the Basics of Multiplying Rational Expressions Multiplying rational expressions is a process that requires familiarity with the fundamentals of algebra. It involves multiplying two or more fractions that contain both numbers and variables. The result of the multiplication will be a rational expression consisting of a numerator and a denominator. The first step of … Read more

Multiply Radical Expressions Worksheet

Multiplying Radical Expressions Worksheet Answers — Db-Excel for Multiply Radical Expressions Worksheet

How to Use a Multiply Radical Expressions Worksheet to Identify and Simplify Radicals A multipy radical expressions worksheet can be a useful tool to help identify and simplify radicals. A radical is a mathematical expression that contains a root, such as a square root or cube root. Radicals can often appear in equations, and by … Read more