Rational And Irrational Numbers Worksheet

Operations With Rational And Irrational Numbers Worksheet Worksheet regarding Rational And Irrational Numbers Worksheet

Exploring the Benefits of Rational and Irrational Numbers Worksheets for Students Rational and irrational numbers are integral parts of mathematics and are essential for students to understand. Worksheets are an effective tool for reinforcing concepts and helping students to practice and master the use of these numbers. By introducing worksheets that focus on rational and … Read more

Ratio And Proportion Worksheet Pdf

Ratio And Proportion Worksheet with regard to Ratio And Proportion Worksheet Pdf

How to Use Ratio and Proportion Worksheet Pdfs to Strengthen Math Skills Ratio and proportion worksheets can be an invaluable tool for students seeking to strengthen their math skills. These worksheets are designed to help students develop and practice their understanding of ratios and proportions. By providing students with an organized, step-by-step approach to solving … Read more

Ratio And Proportion Worksheet

Worksheets For Ratio And Proportion Class 6 Worksheet Pdf intended for Ratio And Proportion Worksheet

How to Use Ratio and Proportion Worksheets to Teach Math Concepts Ratio and proportion worksheets are an effective tool in teaching math concepts. They can be used to reinforce various math skills, including comparing fractions, solving equations, and understanding the relationship between two quantities. By completing ratio and proportion worksheets, students will gain a better … Read more

Ratifying The Constitution Worksheet Answers

30 The Us Constitution Worksheet Answers | Education Template throughout Ratifying The Constitution Worksheet Answers

Exploring Ratifying The Constitution Worksheet Answers: A Comprehensive Guide The Ratification of the United States Constitution is a process that began in 1787 and ended in 1790. This document was written by the framers to form a new government for the United States of America. The ratification process was necessary to put the Constitution into … Read more

Rate Of Change Worksheet

30 Rate Of Change Worksheet | Education Template for Rate Of Change Worksheet

What Are the Benefits of Using a Rate Of Change Worksheet in Math Class? Using a rate of change worksheet in math class can be a great way to help students gain a better understanding of the concepts behind linear equations and how to recognize and solve them. A rate of change worksheet can help … Read more

Radioactive Decay Worksheet Answers

Radioactive Decay Worksheet Answers - Worksheet List for Radioactive Decay Worksheet Answers

Uncovering the Radioactive Decay Worksheet Answers: A Comprehensive Guide 1. What Is Radioactive Decay? Radioactive decay is the process in which a nucleus of an unstable atom spontaneously emits particles, usually alpha or beta particles. This process is also known as radioactivity. Radioactive decay is a random process, meaning that the rate at which the … Read more

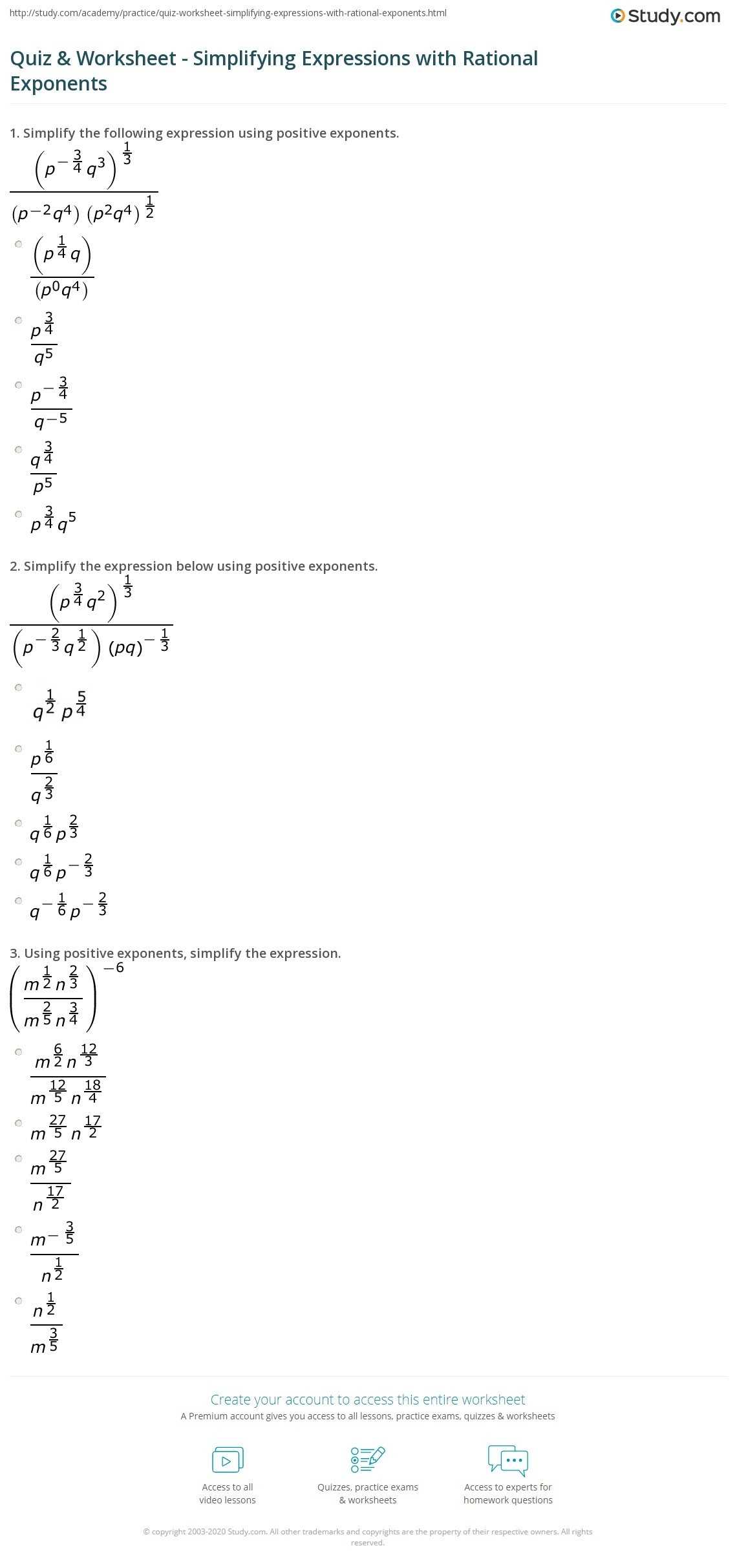
Radicals And Rational Exponents Worksheet

30 Radical And Rational Exponents Worksheet | Education Template pertaining to Radicals And Rational Exponents Worksheet

Exploring Radicals and Rational Exponents: How to Tackle the Worksheet with Ease Radicals and rational exponents are mathematical concepts that can be intimidating to tackle. However, with the right guidance and understanding, tackling them on a worksheet can be a matter of ease. To start, it is important to understand the basics of radicals and … Read more

Radical And Rational Exponents Worksheet

30 Radical And Rational Exponents Worksheet | Education Template throughout Radical And Rational Exponents Worksheet

Breaking Down the Basics of Radical and Rational Exponents Worksheet The Basics of Radical and Rational Exponents Worksheet is designed to help students understand the fundamental concepts of radical and rational exponents. The worksheet contains several exercises that can help students develop a better understanding of how to use and manipulate radical and rational exponents … Read more

Radians To Degrees Worksheet

30 Radians To Degrees Worksheet | Education Template inside Radians To Degrees Worksheet

How to Use a Radians To Degrees Worksheet to Help You Master Trigonometry Using a radians to degrees worksheet can help you master trigonometry and make the most of your studies. A radians to degrees worksheet is a useful tool for students who are learning how to convert from radians to degrees. This worksheet can … Read more

R Controlled Vowels Worksheet

Blog Hoppin': Free R-Controlled Vowel Activities! with regard to R Controlled Vowels Worksheet

How to Introduce R Controlled Vowels to Young Learners Using Worksheets R controlled vowels are an important part of learning to read and spell. They can be tricky for young learners to understand and master. However, with the help of worksheets, introducing r controlled vowels can be an effective and engaging exercise. The first step … Read more