How Atomic Structure Review Worksheets Can Help Students Master Chemistry Concepts
Atomic structure review worksheets are invaluable tools for helping students to master the fundamentals of chemistry. These worksheets provide a comprehensive review of the various elements of atomic structure, including their structure, properties, and behavior. By providing students with a structured review, these worksheets help them to develop their understanding of the underlying concepts and principles of atomic structure.
Atomic structure review worksheets typically begin with an introduction that describes how atoms are composed and how they interact with other atoms. This introduction helps students to understand the basic structure of atoms. The worksheets then move on to discuss the properties of each element, such as its atomic number and atomic mass. These worksheets also provide students with an overview of the different types of bonds that form between atoms, and how these bonds interact with each other.
The worksheets also provide students with a review of the periodic table of elements. This helps students to understand how each element is related to the others, and how the elements can interact with each other. At the same time, these worksheets also explain how various elements can form different types of compounds. This is an important concept for students to understand because it helps them to understand the way in which different substances interact with one another.
[toc]
In addition to providing a review of the fundamentals of atomic structure, these worksheets also help students to understand the way in which atoms interact with other elements. They explain the concept of valence, which is the ability of an atom to absorb or donate electrons. They also discuss the concept of isomerism, which is the ability of atoms to arrange themselves in different ways to form different types of molecules. By providing students with a comprehensive review of these concepts, they can gain a deeper understanding of the way in which atoms interact with other elements.
Finally, atomic structure review worksheets also provide students with practice questions that can help them to test their knowledge of the concepts they have learned. These questions help to reinforce the concepts that students have learned and help them to develop a better understanding of the concepts. By providing students with a comprehensive review of the concepts of atomic structure, these worksheets can help them to master the fundamentals of chemistry.
Analyzing the Different Components of an Atomic Structure Review Worksheet
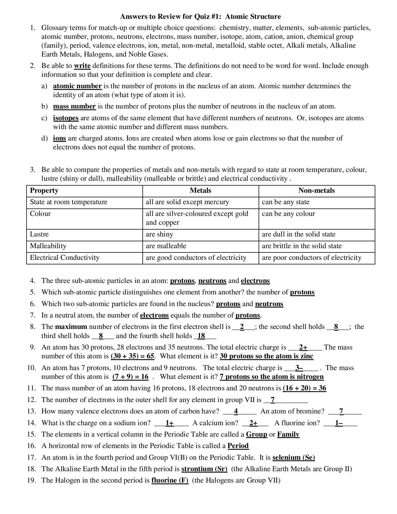
The Atomic Structure Review Worksheet is an important tool for students when studying atomic structure. It is a comprehensive worksheet that helps students understand the concept of an atom and its structure. The worksheet consists of several components that must be completed in order to gain a full understanding of the subject matter.
The first component of the worksheet is a summary of the basic atomic structure. This includes a description of the components of the atom, such as the nucleus, electrons, and protons. It also includes a discussion of the various types of bonds, such as covalent and ionic, and the role of quantum mechanics in the formation of the atom. This component provides a basis for the student to understand the more advanced concepts of the atom.
The second component of the worksheet is a series of questions that help students understand the concept of atomic structure and its application in everyday life. The questions ask about the properties of the atom and its components, its structure and its reaction to different types of energy. They also ask about the uses of the atom in society and its importance in the world today.
The third component of the worksheet is a review of the major topics covered in the course. These topics include quantum mechanics, the structure of the atom, and the various types of atoms and their properties. This component includes a review of the principles and equations used in the course and a discussion of the implications of these principles.
The fourth component of the worksheet is a set of practice problems. These problems are designed to help students apply what they have learned in the course to the real world. The problems are based on the concepts discussed in the review and are intended to help students understand how the concepts are used in everyday life.
Finally, the fifth component of the worksheet is an assessment of the student’s understanding of the material. This assessment is designed to evaluate the student’s understanding of the principles and equations used in the course. It also provides feedback on the student’s performance and gives the student an opportunity to review the material and make improvements if needed.
Overall, the Atomic Structure Review Worksheet is an invaluable tool for any student studying atomic structure. It provides a comprehensive overview of the subject matter and helps students gain a full understanding of the concepts. By completing the different components of the worksheet, students will be able to fully comprehend and apply the material to their everyday lives.
Exploring the Benefits of Using Atomic Structure Review Worksheets in the Chemistry Classroom
Atomic structure review worksheets are an invaluable tool for chemistry teachers, providing a structured and efficient means of reinforcing and assessing students’ understanding of the fundamental principles of atomic structure. The use of such worksheets can help to ensure that students have a comprehensive grasp of the material and can apply it to a wide range of contexts.
One key benefit of using atomic structure review worksheets is that they provide students with a structured way to review the material. The worksheets are typically divided into sections that address different topics related to the material, such as atomic structure, electron configuration, and periodicity. By breaking down the material into smaller, more manageable chunks, students are better able to focus on the key concepts and make connections between them. Furthermore, this approach encourages active learning and promotes critical thinking, as students are required to think through the material rather than simply memorizing it.
Another advantage of using atomic structure review worksheets is that they can be used to assess students’ understanding of the material. The worksheets are often designed with multiple-choice and/or fill-in-the-blank questions that allow the teacher to quickly assess student comprehension. This can be a valuable tool for providing feedback and helping students to identify areas in which they may need to review the material.
Finally, atomic structure review worksheets can be used to measure student progress over time. With each worksheet, the teacher can track student responses to ensure that they are understanding the material and can apply it to a range of contexts. This approach can be especially beneficial for students who are struggling with a particular concept, as the teacher can use the worksheets to pinpoint areas of weakness and tailor instruction accordingly.
Overall, atomic structure review worksheets are an invaluable tool for teachers of chemistry. They provide a structured way for students to review material, allow the teacher to assess student understanding, and can be used to measure student progress over time. As such, they are an essential component of any chemistry classroom.
Conclusion
This atomic structure review worksheet has provided an excellent overview of the important aspects of atomic structure. It has allowed students to review the basics of electron configuration, the structure of atoms, and the periodic table. By completing this worksheet, students should now have a better understanding of the fundamentals of atomic structure and be better prepared to further explore the topic in more detail.
[addtoany]












