Analyzing the Framers’ Intent in Creating the Anatomy of the Constitution Worksheet
The Framers of the Constitution had a clear and unified vision for the United States of America. Their intent was to create a document that would serve as the foundation of the nation, providing a stable and enduring framework for all future generations. The Framers aimed to create a document that would ensure the protection of individual rights while also providing a strong, unified government.
The Framers sought to create a document that would be able to stand the test of time, while also being flexible enough to allow for the growth and evolution of the nation. To this end, they crafted a document with a detailed structure that provided a framework for the nation’s governance. The Constitution is divided into seven distinct articles, each covering different aspects of the nation’s governing structure. Each article is further divided into sections and subsections that provide specific details about the roles and responsibilities of the federal government and the rights of citizens.
The Framers also sought to provide clear guidance and direction for the nation’s future. To this end, they included a Bill of Rights in the Constitution that provided a detailed list of the legal rights and freedoms of every individual. This list of rights has served as a cornerstone of the United States’ legal system and has been an integral part of the nation’s growth and development.
[toc]
The Framers’ intent in creating the Constitution was to provide a framework for a stable and secure nation that would last for generations. They crafted a document that had a detailed structure and provided a comprehensive set of rights and freedoms for the citizens of the United States. The Framers’ goal was to ensure that their children and grandchildren would have a nation that was both strong and free.
Exploring the Different Parts of the Anatomy of the Constitution Worksheet
The Constitution of the United States is the supreme law of the land and the foundation of our republic. It is a remarkable document that defines and limits the powers of the federal government, protects individual rights, and guarantees the basic freedoms of all citizens. To understand the Constitution, one needs to understand its different parts.
The Preamble is the first section of the Constitution and serves as an introduction. It states the purpose of the document and outlines the goals of the framers. It reads, “We the People of the United States, in Order to form a more perfect Union, establish Justice, insure domestic Tranquility, provide for the common defence, promote the general Welfare, and secure the Blessings of Liberty to ourselves and our Posterity, do ordain and establish this Constitution for the United States of America.”
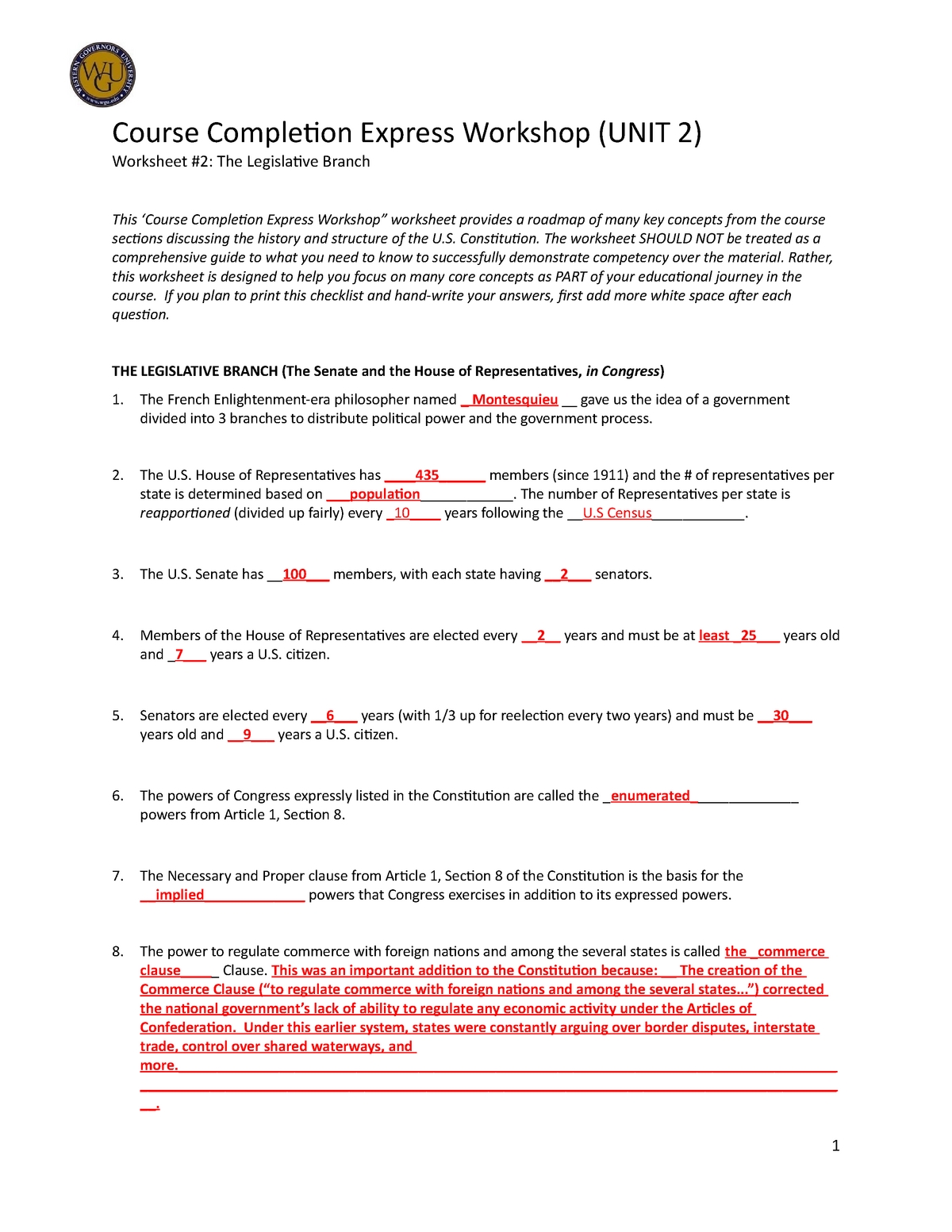
The seven Articles of the Constitution then divide the powers of the federal government among the three branches: Legislative, Executive, and Judicial. These Articles also detail what Congress can and cannot do, such as how many members each house of Congress should have and how laws are made.
The Bill of Rights is the first ten amendments to the Constitution and contains the rights of citizens. These include freedom of speech, press, religion, and the right to bear arms.
The rest of the Constitution is composed of other amendments that expand and protect the rights of citizens. These amendments include the Thirteenth Amendment which abolished slavery, the Fifteenth Amendment which granted African Americans the right to vote, and the Nineteenth Amendment which granted women the right to vote.
The Constitution of the United States is an enduring document that has served as the foundation for our nation’s success for over two centuries. By understanding its different parts, we can better appreciate and protect the liberties that it guarantees to all citizens.
Unpacking the Significance of the Anatomy of the Constitution Worksheet for Modern Constitutional Interpretation
The Anatomy of the Constitution Worksheet is an important tool for modern constitutional interpretation. This worksheet helps to break down the complicated language and structure of the Constitution into simple, easy to understand terms. It provides a comprehensive overview of the structure of the Constitution and its key components, such as the Preamble, Articles of Confederation, Bill of Rights, and Amendments.
The worksheet also offers valuable insights into how the Constitution has evolved over time. It examines how the Constitution has been amended, as well as how certain provisions have been interpreted differently by subsequent courts. This provides an understanding of how the Founding Fathers intended the Constitution to be interpreted, and how it has been applied in modern times.
The Anatomy of the Constitution Worksheet also provides a valuable resource for understanding the underlying principles of the Constitution. It introduces the various theories and philosophies that are at the heart of the Constitution, such as the separation of powers, checks and balances, and the rule of law. This helps to identify the key issues that are at the center of modern constitutional interpretation.
Finally, the Anatomy of the Constitution Worksheet also serves as a valuable teaching aid. It provides an organized, step-by-step approach to understanding the complexities of the Constitution. It can be used by students in a variety of classrooms, from elementary school to college-level courses. This allows students to gain an in-depth understanding of the Constitution, and the role it plays in American society.
The Anatomy of the Constitution Worksheet is an invaluable tool for modern constitutional interpretation. It provides a comprehensive overview of the Constitution and its key components, and offers valuable insights into how the Constitution has evolved over time. It also provides an understanding of the underlying principles of the Constitution, and serves as a valuable teaching aid. This makes the Anatomy of the Constitution Worksheet an essential tool for modern constitutional interpretation.
Conclusion
The Anatomy of the Constitution Worksheet provides an excellent overview of the structure and content of the Constitution. The worksheet provides an organized summary of the different components of the Constitution, helping to simplify the process of understanding this important document. By using this worksheet, students can gain a better understanding of the Constitution and its role in our government.
[addtoany]












