Breaking Down the Basics of Algebra 1 Inequalities Worksheets: A Step-by-Step Guide
I. Introduction
Algebra 1 Inequalities worksheets are a great way to help you understand and practice solving inequalities. Inequalities are equations that involve a comparison of values, such as greater than, less than, or equal to. They can be used to solve many problems in mathematics, as well as in everyday life. This guide will break down the basics of Algebra 1 Inequalities worksheets, providing a step-by-step process for solving these equations.
II. Step 1: Identifying the Inequality
[toc]
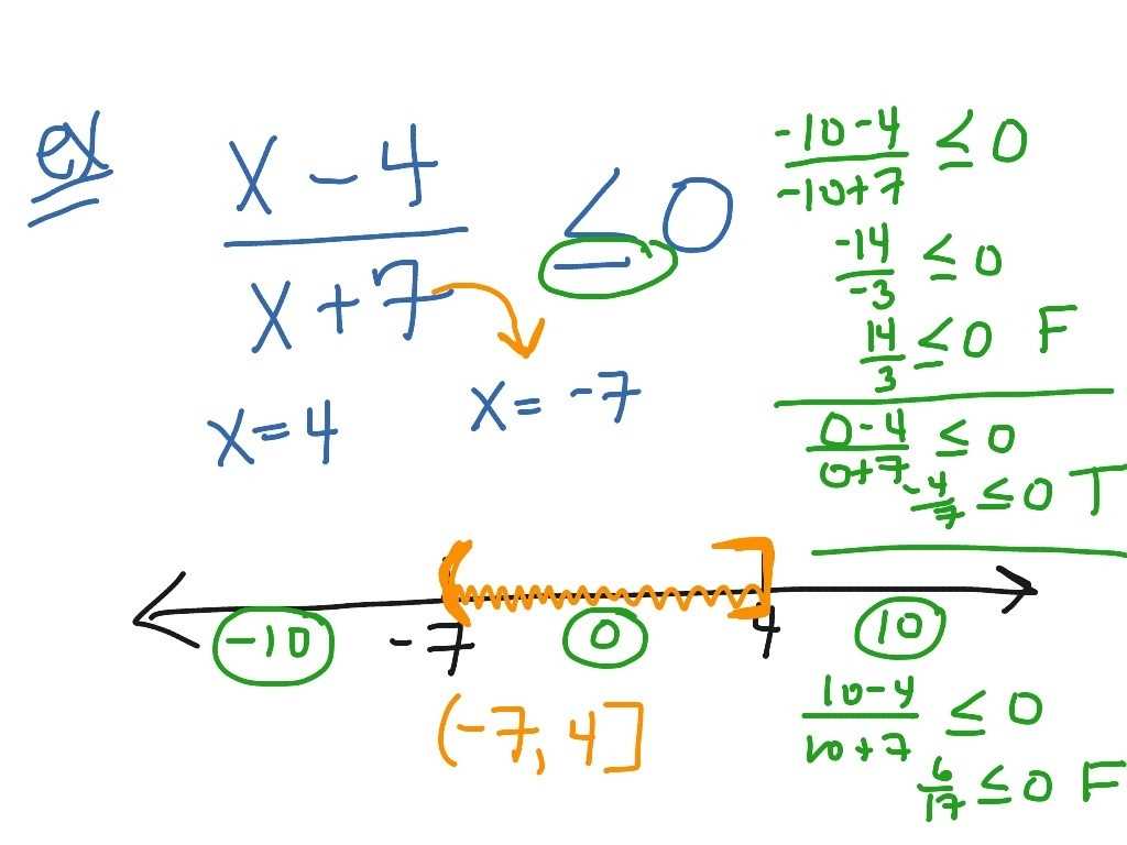
The first step in solving an inequality is to identify the inequality. This can be done by looking at the symbols between the two values. For example, if the equation reads “x < 5”, then the inequality is “less than”. III. Step 2: Drawing a Number Line Once the inequality is identified, the next step is to draw a number line. This will help you visualize the inequality and provide a framework for solving it. The number line should have the two values that are being compared on it, as well as any other numbers that are involved in the equation. IV. Step 3: Solving the Inequality The third step is to solve the inequality. This involves finding the solution to the equation by using the appropriate algebraic operations. This can include addition, subtraction, multiplication, and division. It is important to remember that the inequality must remain true throughout the entire solution. V. Step 4: Checking the Solution The fourth and final step is to check the solution. This can be done by plugging the solution into the original equation and making sure that it is still true. This is a crucial step to ensure that the answer is correct. VI. Conclusion Algebra 1 Inequalities worksheets are a great way to help you understand and practice solving inequalities. By following the steps outlined in this guide, you can break down the basics of Algebra 1 Inequalities worksheets and become more confident in your ability to solve these equations.
Exploring Creative Approaches to Teaching Algebra 1 Inequalities Worksheets
Algebra 1 inequalities worksheets can be a valuable resource in teaching students how to solve algebraic equations. However, these worksheets can often be dry and unengaging for students, leading to disengagement in the classroom. Fortunately, there are a variety of creative approaches to teaching algebra 1 inequalities worksheets that can help engage students and make the material more exciting.
One creative approach is to create a game-like environment with the worksheets. Students can be given points for completing each task, or even working with a partner to solve a problem. This can help make the worksheets more fun and engaging for students. Additionally, teachers can offer incentives for completing the worksheets correctly, such as offering a small reward for reaching a certain level of accuracy.
Another creative approach is to use technology to help with teaching algebra 1 inequalities worksheets. Many websites now offer interactive worksheets that make it easier for students to solve problems. Not only can this make the material more engaging, but it can also help students learn the material more quickly. Additionally, apps and online tools can be used to help students work together and collaborate on a problem.
Finally, teachers can create a variety of activities that incorporate algebra 1 inequalities worksheets. For example, students can be asked to create a story or solve a riddle that incorporates the material from the worksheet. This can help make the material more meaningful and engaging for students. Additionally, teachers can use real-world examples to help students understand the material more easily.
By using these creative approaches to teaching algebra 1 inequalities worksheets, teachers can help make the material more engaging and meaningful for students. Not only will this help increase student engagement in the classroom, but it can also help improve student performance. As such, these creative approaches can prove to be an invaluable resource in teaching algebra 1 inequalities worksheets.
Examining the Pros and Cons of Different Types of Algebra 1 Inequalities Worksheets
Algebra 1 inequalities worksheets come in a variety of forms, all designed to help students learn to identify, graph, and solve inequalities. Each type of worksheet has its own set of pros and cons.
Multiple Choice Worksheets. Multiple choice worksheets can be beneficial for students who need a quick overview on the topic, and for those who need to brush up on their problem-solving skills. The main benefit of multiple choice worksheets is that they provide a quick and easy way to test a student’s knowledge of the material. However, this type of worksheet does not offer much opportunity for practice and application of the material.
Fill-in-the-Blank Worksheets. Fill-in-the-blank worksheets are great for students who need a more in-depth look at the topic. This type of worksheet provides students with the opportunity to practice and apply the material in a more detailed way. However, it can be challenging for students with weaker mathematical skills as the questions can often be very complex.
Hands-On Worksheets. Hands-on worksheets are an effective way to help students learn the material and gain a better understanding of the concepts. This type of worksheet involves students manipulating tangible objects to solve inequalities, which can be a great way to engage students’ creativity. However, this type of worksheet is often more time consuming to create and requires more materials.
Matching Worksheets. Matching worksheets are a great way to help students practice their problem-solving skills. This type of worksheet requires students to match equations with their solutions which can help them understand the concepts more deeply. However, some students may find this type of worksheet overwhelming due to the amount of information they must process.
In conclusion, each type of algebra 1 inequalities worksheet has its own set of pros and cons. Multiple choice worksheets are great for testing knowledge, fill-in-the-blank worksheets are great for application and practice, hands-on worksheets are great for engaging students’ creativity, and matching worksheets are great for problem solving. Ultimately, educators must decide which type of worksheet best meets their students’ needs.
Conclusion
The Algebra 1 Inequalities Worksheet is an excellent resource for students to practice and refine their understanding of how to solve inequalities. With a variety of problems and different difficulty levels, the worksheet provides ample opportunity for students to learn and practice their algebra skills. With practice and dedication, students can become proficient in solving inequalities, which is a critical skill for mathematical success.
[addtoany]












